• Предмет: Алгебра
  • Автор: 12345543214025
  • Вопрос задан 2 года назад

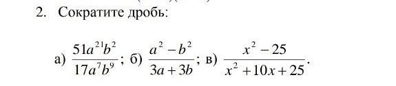
помогите решить это задание​

Приложения:

Ответы

Ответ дал: folman2005
1

Ответ

в а ровно 3 а в 14 в числителе в знаменателе b в 7

б  ровно в счис а-в знам 6

в  ровно 1 в числ 10х в знамъ

Объяснение:

Вас заинтересует