• Предмет: Алгебра
  • Автор: Аноним
  • Вопрос задан 2 года назад

СРОЧНО НУЖНА ПОМОЩЬ

ВЫНЕСТИ ОБЩИЙ МНОЖИТЕЛЬ ЗА СКОБКУ

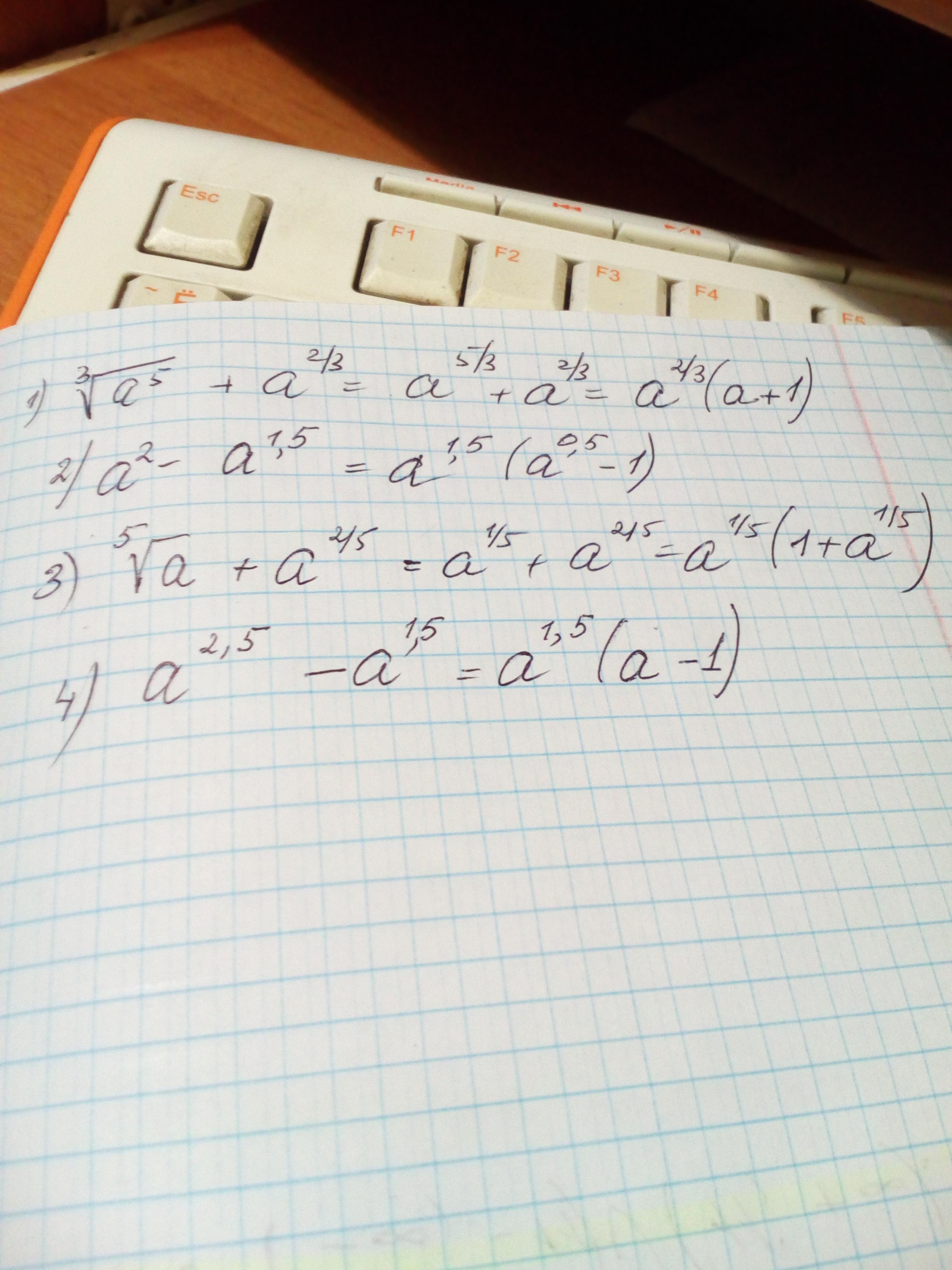
1)^3√a^5+a^2/3

2)^5√a+a^2/5

3)a^2-a^1,5

4)a^2,5-a^1,5

Приложения:

Ответы

Ответ дал: Аноним
1

Ответ во вложении Объяснение:

Приложения:
Вас заинтересует