• Предмет: Алгебра
  • Автор: solya30
  • Вопрос задан 2 года назад

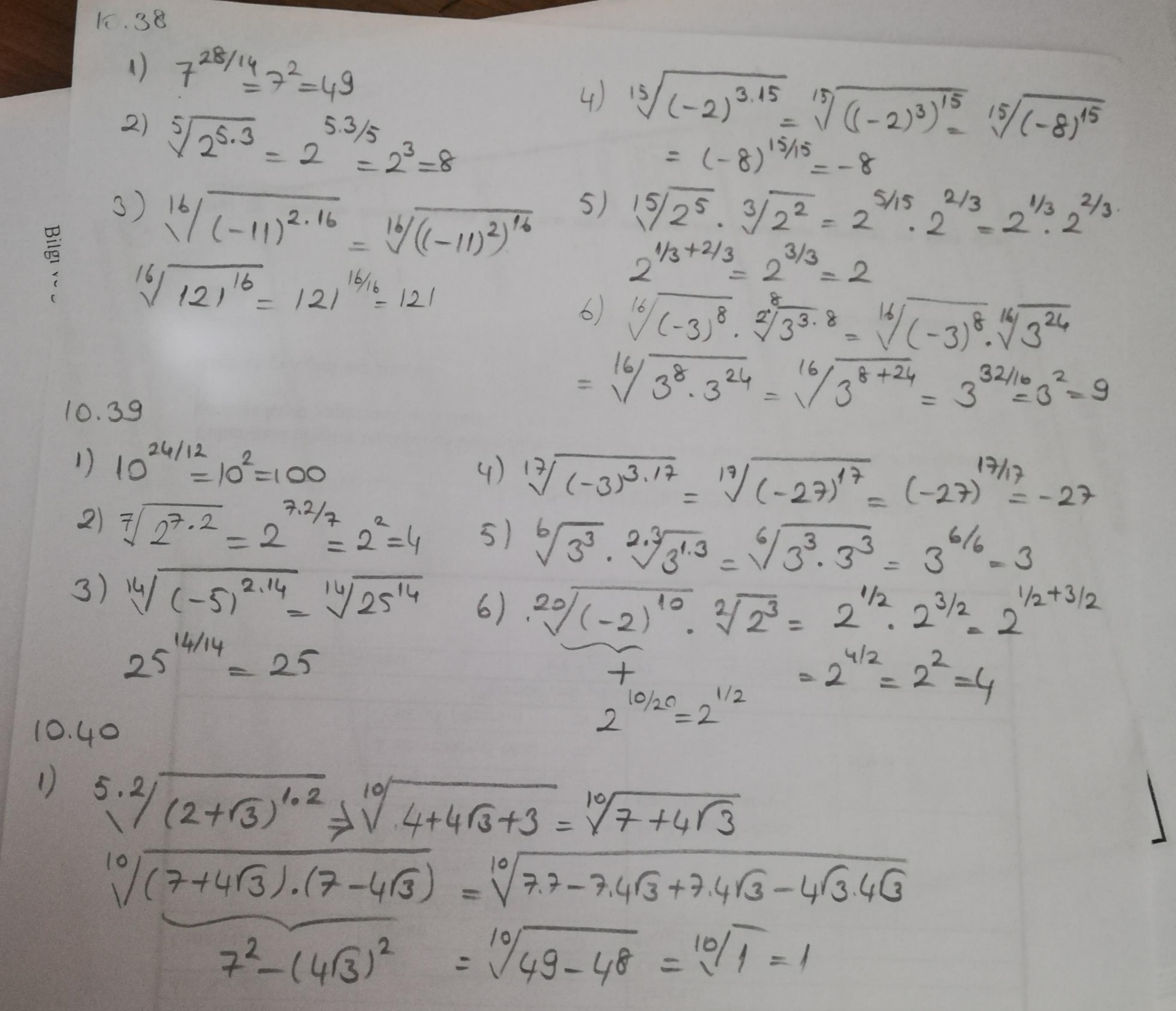
Решите пж номер 10.39
СРОЧНО ☄️☄️☄️☄️

Приложения:

Ответы

Ответ дал: Mirage86
1

I hope this helps you

Приложения:
Вас заинтересует