• Предмет: Алгебра
  • Автор: yanaiva2004
  • Вопрос задан 2 года назад

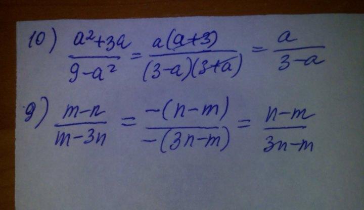
выберите правильные варианты ответов с доказательством на то что ответ верен
9 и 10

Приложения:

Ответы

Ответ дал: Вероника8
1

Ответ:

на фото

Объяснение:

Приложения:

yanaiva2004: что ты сделала что бы найти правильный ответ в 9?
Вероника8: вынесла минус за скобки
yanaiva2004: спасибо
Вас заинтересует