• Предмет: Алгебра
  • Автор: tamiyagamerinbox8
  • Вопрос задан 2 года назад

35 баллов СРОЧНО!!!!!!!!!!!!!!!!!!!!!!!!!!!!!!!!!!!!!!!!!!!!!!!!!!!!!!!!!!!!!!!!!!!!!!!!!
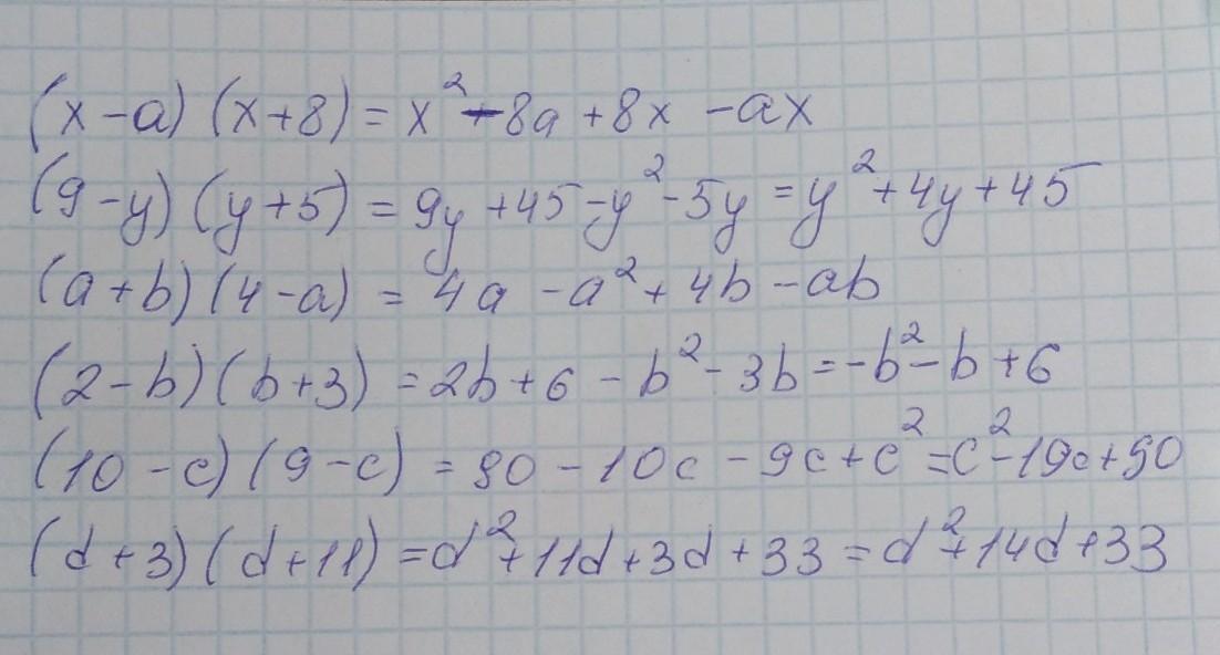
(х-а)(х+8); (9-y)(y+5); (a+6)(4-a); (2-b)(b+3); (10-c)(9-c); (d+3)(d+11)

Ответы

Ответ дал: blackmday12
2

Объяснение:

Решение на фото...........

Приложения:
Ответ дал: kapitoshka9945
0

Ответ:

.

Объяснение:

x^2+8x-az-8a

-y^2+4y+45

-a^2-2x+24

-b^2-b+6

c^2-19c+90

d^2+14d+33

Вас заинтересует