• Предмет: Математика
  • Автор: milena5113
  • Вопрос задан 2 года назад

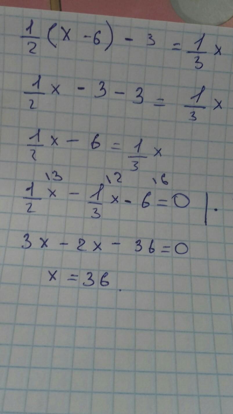
1/2(х-6)-3=1/3х решить уравнение

Ответы

Ответ дал: semenovicvalentina5
1

Ответ:

ответ на фотографии ))))))))))))))

Приложения:

milena5113: спасибо
Ответ дал: BlackFox2030
0

Ответ:

 \frac{1}{2} (x - 6) - 3 =  \frac{1}{3} x

 \frac{1}{2} x - 3 - 3 =  \frac{1}{3}

 \frac{1}{2} x - 6 =  \frac{1}{3} x

3х-36=2х

3х-2х=36

х=36


milena5113: спасибо
Вас заинтересует