• Предмет: Математика
  • Автор: Unkeroxh
  • Вопрос задан 2 года назад

Вычислите:
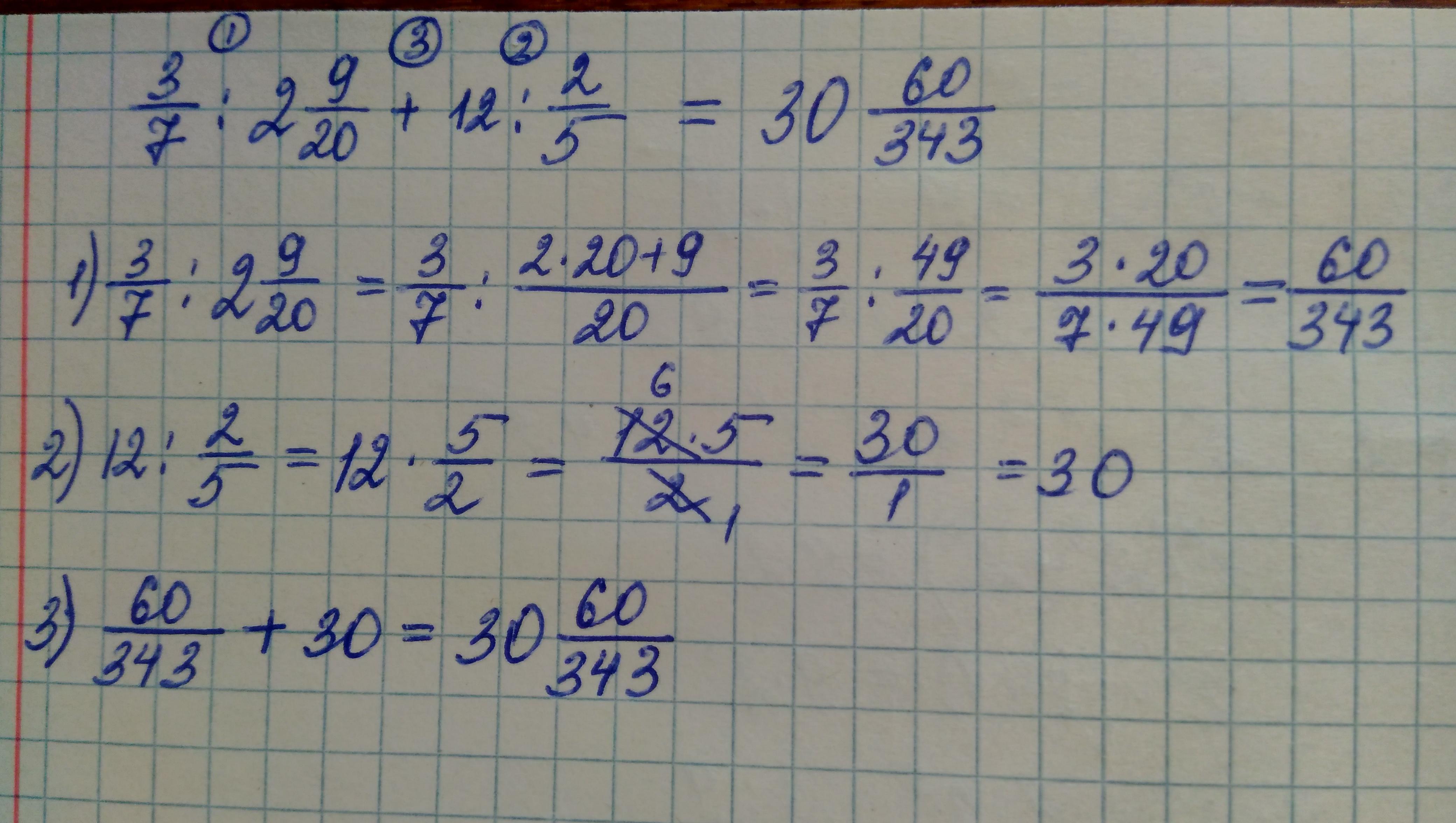
3/7: 2целых9/20+ 12:2/5

Помогите, пожалуйста

Ответы

Ответ дал: tatsach
1

Ответ:

Пошаговое объяснение:

3/7: 2 9/20=3\7*20\49=60\343

12:2/5=12*5\2=30

30+60\343=30 60\343

Ответ дал: UluanaV
0

Смотри решение на фото.

Приложения:
Вас заинтересует