• Предмет: Алгебра
  • Автор: Пілока
  • Вопрос задан 11 лет назад

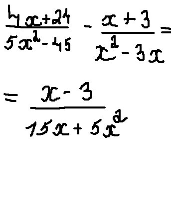
срочно нужно мне очень

Приложения:

Ответы

Ответ дал: triolana
0

ФАЙЛ

-------------------------

Приложения:
Вас заинтересует