• Предмет: Математика
  • Автор: Veronika10002
  • Вопрос задан 2 года назад

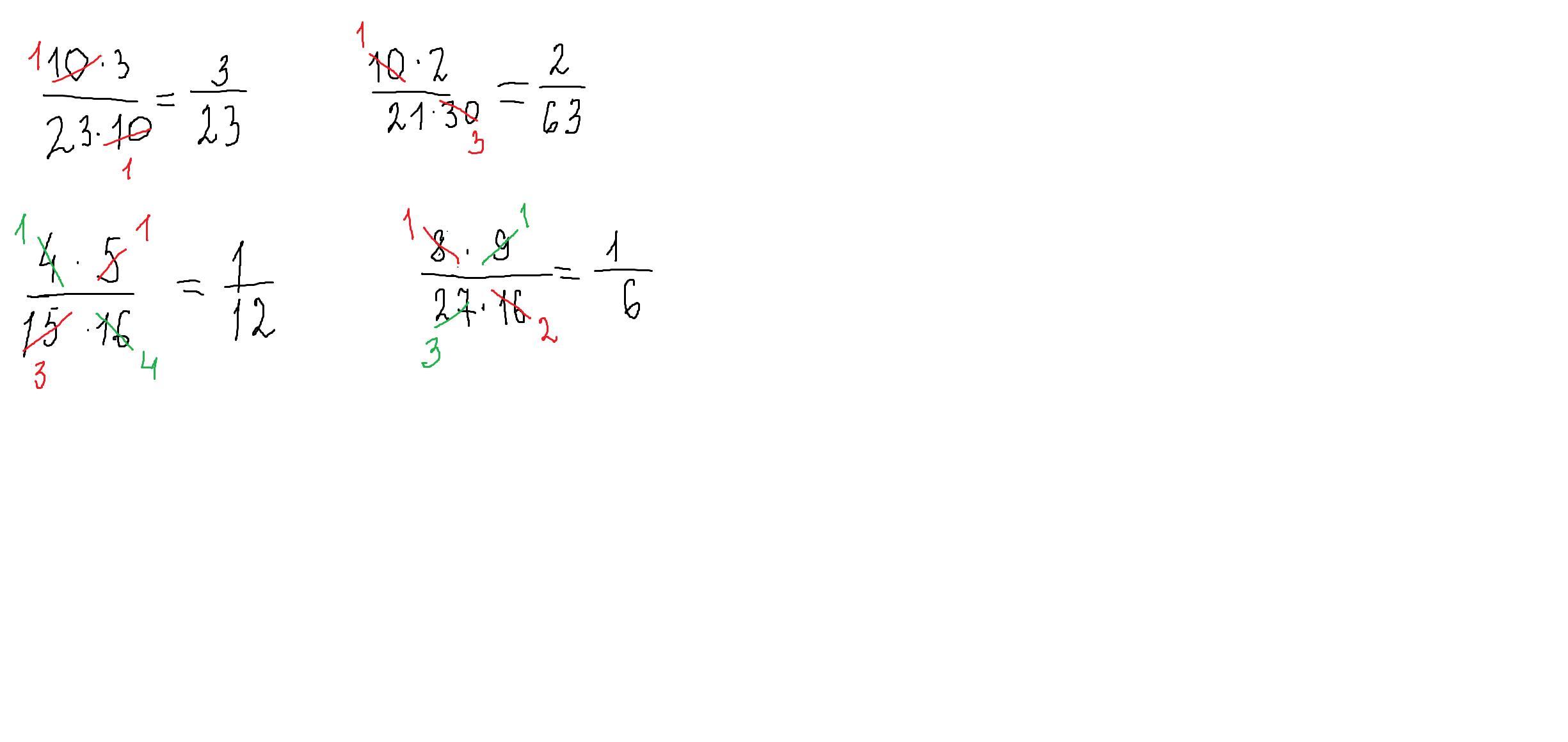
сократите дроби в умножении
10*3/23*10
10*2/21*30
4*5/15*16
8*9/27*16

Ответы

Ответ дал: parus77
5

Ответ:

Пошаговое объяснение:

решение смотри внизу

Приложения:
Вас заинтересует