• Предмет: Алгебра
  • Автор: iluminatimaxim
  • Вопрос задан 2 года назад

Помогите! решите 3 неравенства!
1. -3<5x-2<4
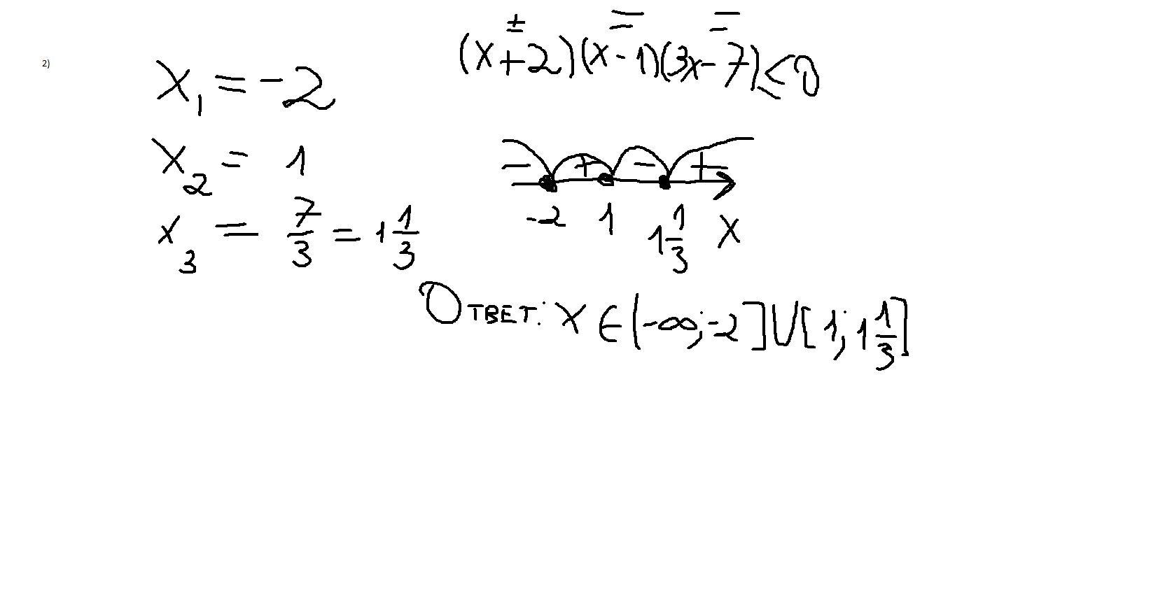
2. (x+2)(x-1)(3x-7)≤0
3. x+3/x-5<0
Пожалуйста, мне очень нужно на завтра


Simba2017: третье, дробь какая?
iluminatimaxim: x+3
iluminatimaxim: сверху x+3
Simba2017: вот поэтому и не решают , что непонятно
iluminatimaxim: сверху х+3 снизу х-5 и посередине <0

Ответы

Ответ дал: evaloneiceiceice
1

В прикреплённом файле.

Приложения:

Simba2017: вы понимаете как там текст писать просто или нет?
evaloneiceiceice: Я понимаю, мне удобнее рисовать. Конечно, об удобстве тут нечего говорить, но, всё таки, так приятнее
Simba2017: там есть в панели кнопка с "А"
evaloneiceiceice: Я знаю
iluminatimaxim: ребята, мне потом больше ничего не нужно
evaloneiceiceice: Уже же всё тебе решили
iluminatimaxim: я остальное сделал
Simba2017: нажмите ее и растяните рамку для текста, в первой строке рамки встанет маркер для начала записи текста
evaloneiceiceice: Да я знаюююю, мне так не хочется
Simba2017: дело ваше...
Ответ дал: Simba2017
0

........................................

Приложения:

iluminatimaxim: спасибо
Вас заинтересует