Ответы
Ответ дал:
1
Х+3*х-2=0
Х+х*3-2=0
Х+х=0-3+2
2х=-1
Х=-1/2
Объяснение:
Думаю так
Ответ дал:
1
Ответ:
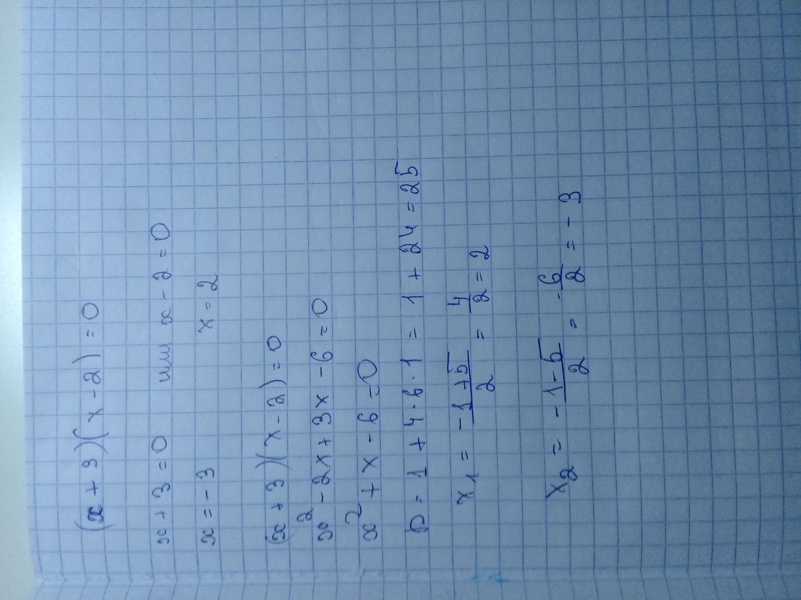
Сначала перемножаем две скобки, потом подобные, решаем квадратное уравнение.
Или: произведение двух множетелей равно 0 тогда, когда хотя бы один из множетелей равен 0. То есть приравниваем каждую скобку к 0.
Но тебе в 7 классе лучше чем квадратное уравнение)
Объяснение:
Приложения:

Вас заинтересует
1 год назад
1 год назад
2 года назад
2 года назад
3 года назад
3 года назад
8 лет назад