• Предмет: Математика
  • Автор: islom715
  • Вопрос задан 2 года назад

помогите пожалуйста ​

Приложения:

parus77: я не поняла,почему мое решение отмечено нарушением?

Ответы

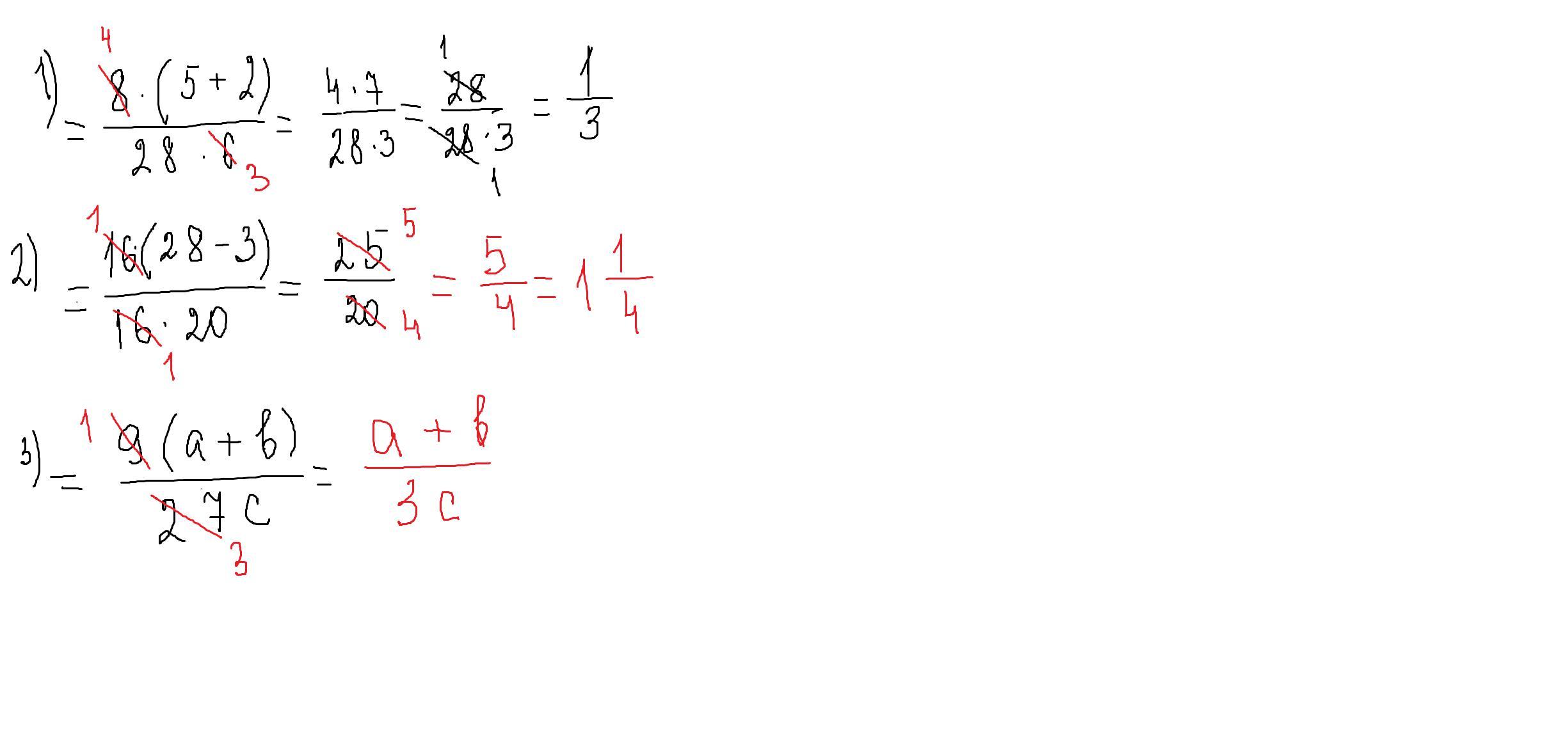
Ответ дал: parus77
1

Ответ:

Пошаговое объяснение:

вынесем общий множитель за скобки и сократим

Приложения:
Вас заинтересует