100 баллов! Нужна помощь людей, решающих интегралы.. Решите любой номер, буду благодарен
Приложения:
                    
                            
                    matemaster69:
                    я тока 1 смогу
                
            
                    
                    помочь?
                
            
                    
                    да, будь добр
                
            Ответы
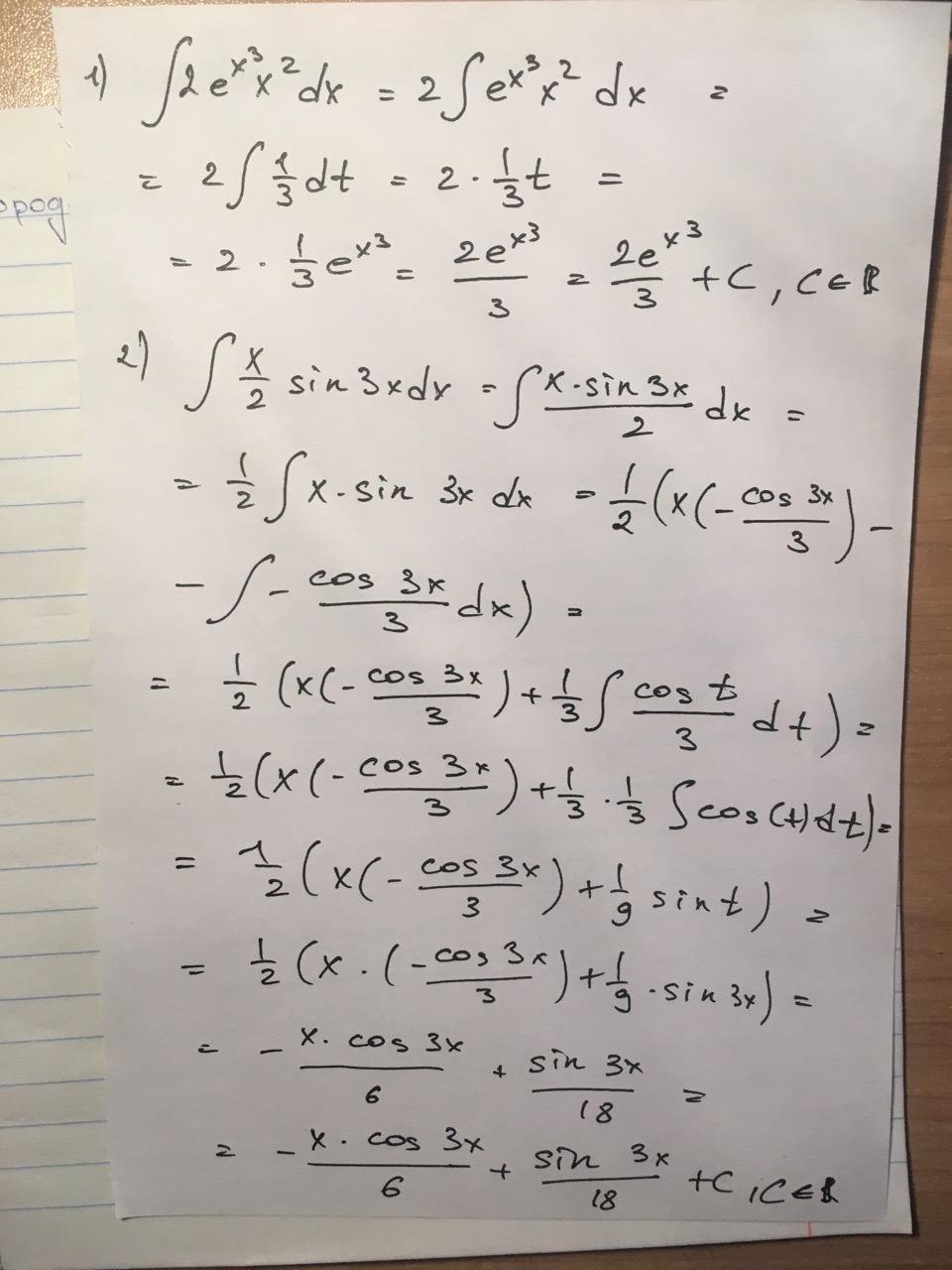
                                            Ответ дал: 
                                                                                            
                                                    
                                                
                                                                                    
                                        
                                            
                                                
                                                
                                                
                                                    1
                                                
                                            
                                        
                                    Объяснение:
смотри фото
Приложения:
                    
                            
                    
                    ты не знаешь как решать полный дифференциал?
                
            
                    
                    пригодилось бы его решение
                
            
                    
                    №2
                
            Вас заинтересует
                
                        1 год назад
                    
                
                        1 год назад
                    
                
                        2 года назад
                    
                
                        2 года назад
                    
                
                        3 года назад
                    
                
                        3 года назад
                    
                
                        8 лет назад
                    
                
                        8 лет назад