• Предмет: Математика
  • Автор: vladaroy17
  • Вопрос задан 2 года назад

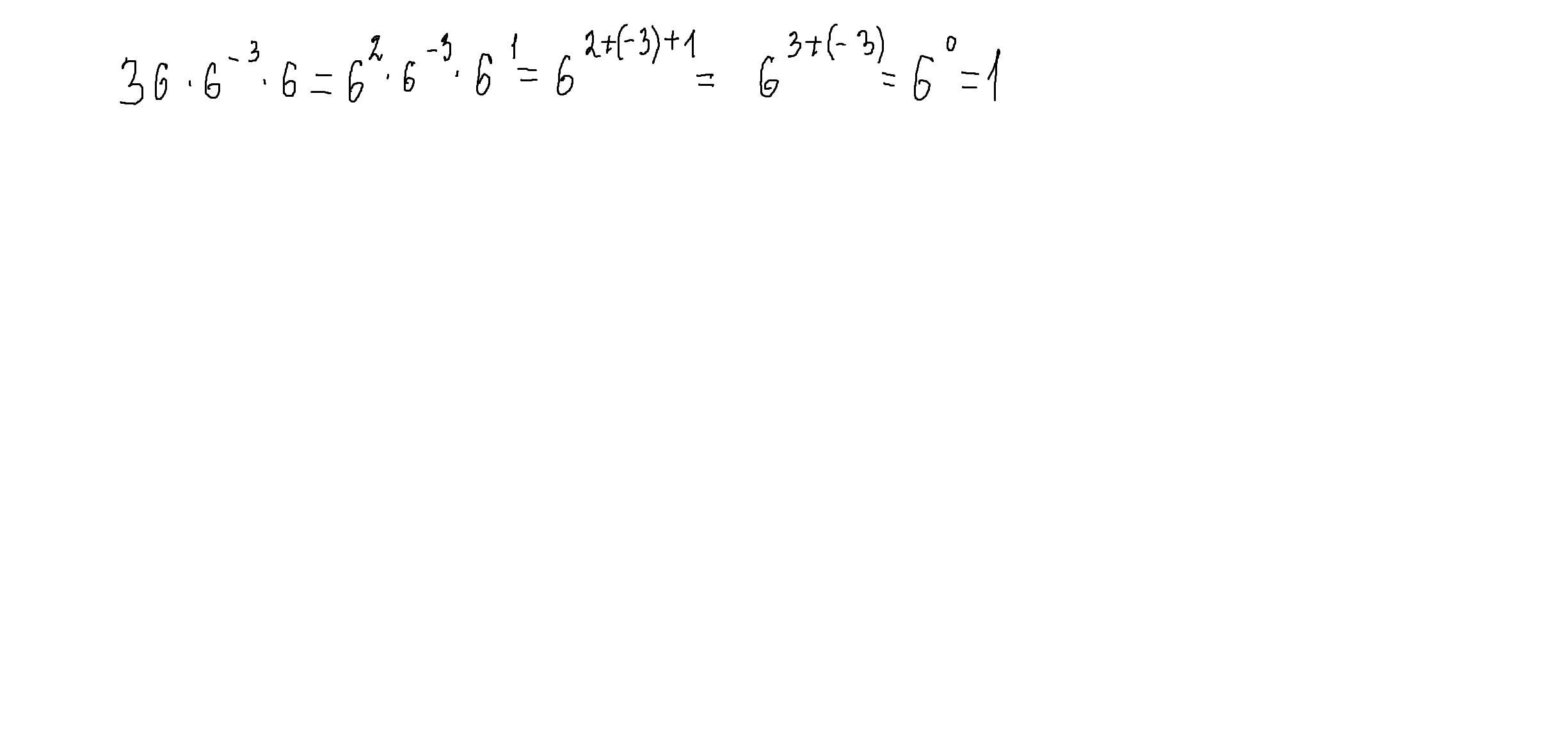
найдите значение выражения 36*6^-3*6. Полностью ​

Ответы

Ответ дал: parus77
4

Ответ:

Пошаговое объяснение:

при умножении степеней с одинаковым основанием показатели складываются.

решение внизу.

Приложения:
Вас заинтересует