Ответы
Ответ дал:
15
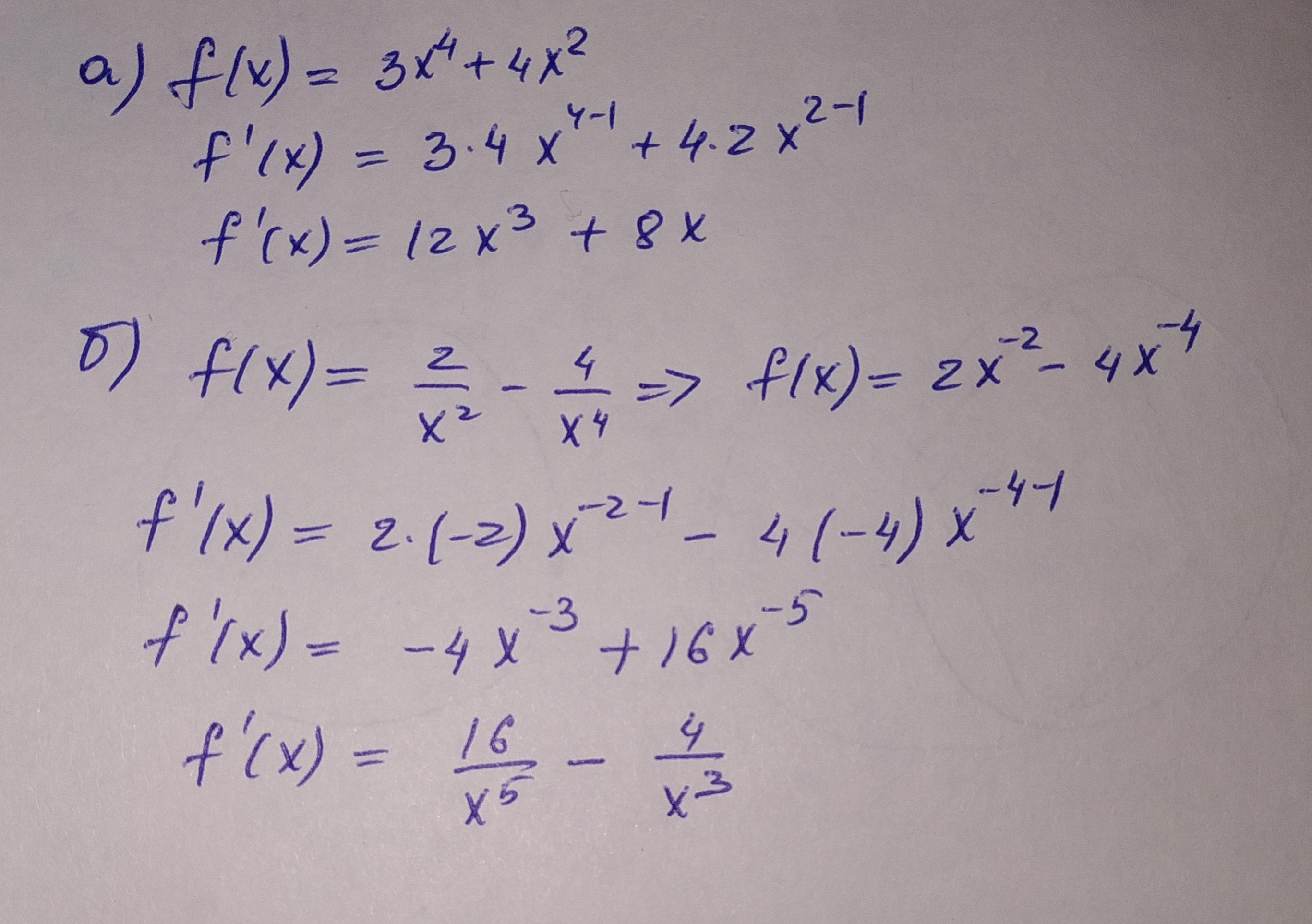
Главное понять, как берется производное от степенной переменной.
Приложения:

Вас заинтересует
1 год назад
2 года назад
2 года назад
3 года назад
8 лет назад