• Предмет: Математика
  • Автор: bih8
  • Вопрос задан 2 года назад

Преобразуйте десятичную дробь в обыкновенную и вычислите : 7 5/36-4,55

Ответы

Ответ дал: Amigo3
3

Ответ: 7 5/36-4,55 = 7 5/36-4 55/100= 7 5/36-4 11/20=257/36-91/20=

(257-91*1,8)/36=93,2/36=932/360=233/90=2 53/90.

Пошаговое объяснение:


Amigo3: Пишите, если ещё будут вопросы
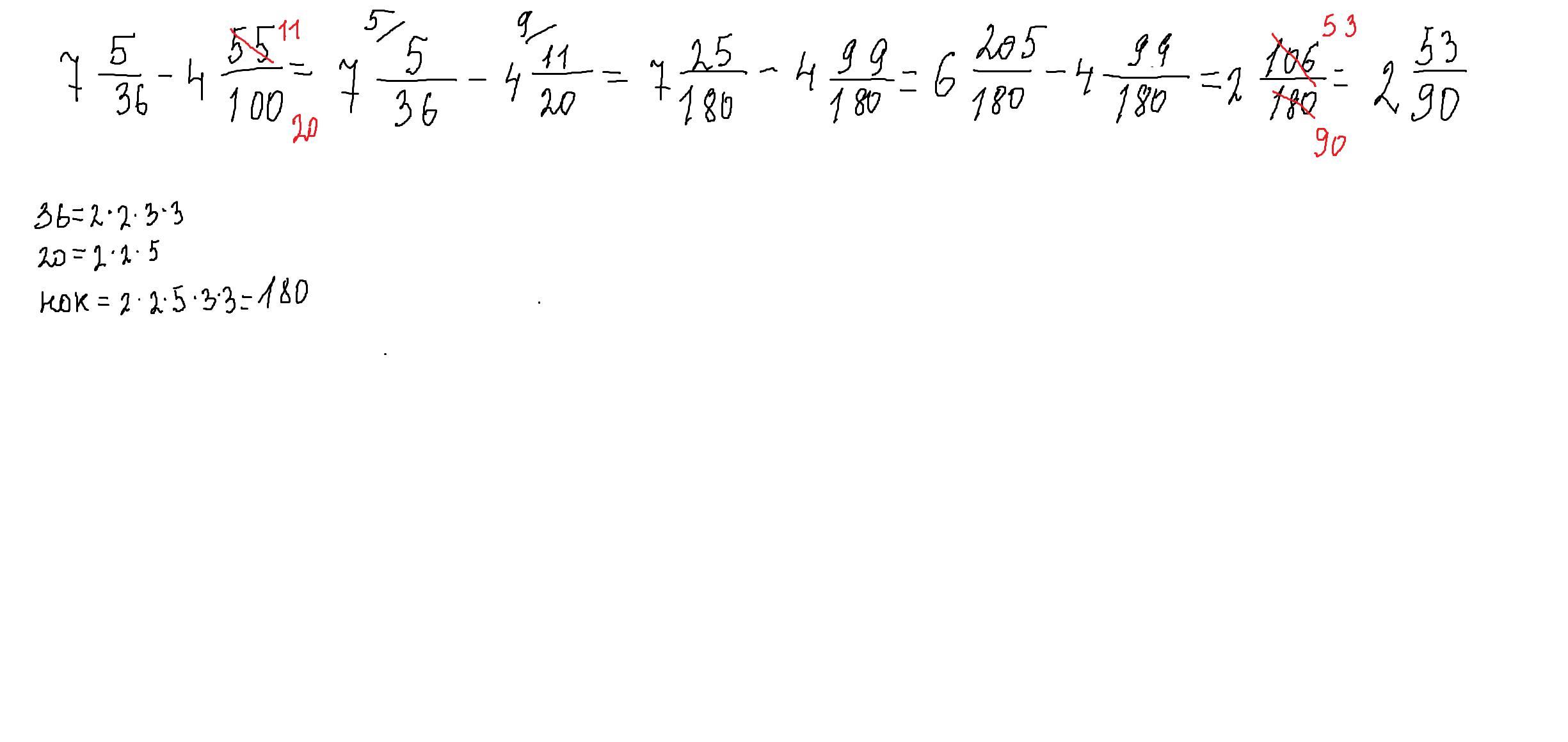
Ответ дал: parus77
5

Ответ:

Пошаговое объяснение:

решение внизу

Приложения:
Вас заинтересует