Ответы
Ответ дал:
0
Ответ:
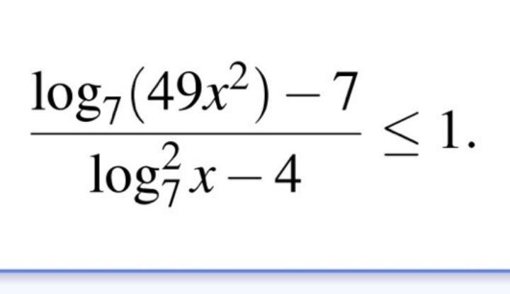
ОДЗ: х>0
Лог7(49х^2)=лог7(49)
Приложения:

Вас заинтересует
1 год назад
2 года назад
2 года назад
3 года назад
3 года назад
8 лет назад