• Предмет: Математика
  • Автор: rianasitdikova671
  • Вопрос задан 2 года назад

Сколько решений имеет уравнение(замену уже сделала)

Приложения:

s0807: если дискриминант больше о, будет два решения. если вы про уравнение с t

Ответы

Ответ дал: HayLow
0

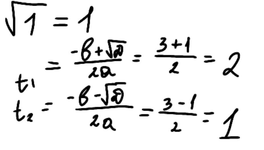
Ответ: Уравнение имеет два решения. Решение на фото

Приложения:
Вас заинтересует