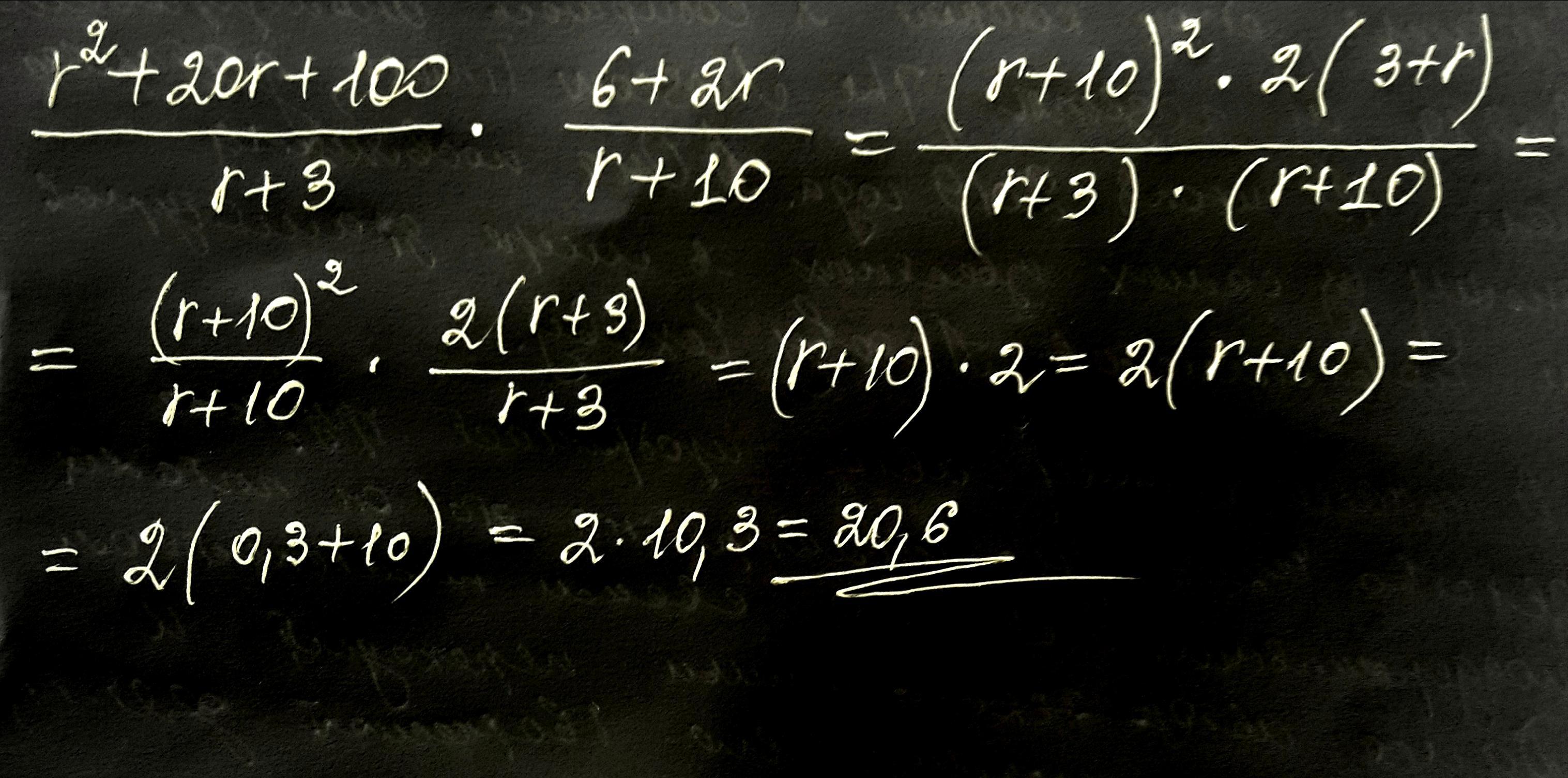
выполни умножение алгебраических дробей r2+20r+100r+3⋅6+2rr+10
и найди значение выражения при r= 0,3.
Аноним:
А какие здесь дроби?
Ответы
Ответ дал:
3
Решение приложено
Ответ: 20,6
Приложения:

Вас заинтересует
1 год назад
1 год назад
2 года назад
2 года назад
3 года назад
3 года назад