• Предмет: Алгебра
  • Автор: GFGTFYTRTFFF
  • Вопрос задан 2 года назад

1 картинка: Вычислите
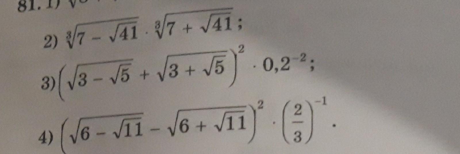
2 картинка (2 и 4 пример)
3 картинка (2 и 4 пример) Выполнить действия

Приложения:

Ответы

Ответ дал: Universalka
2

1)\sqrt{31-6\sqrt{26}}-\sqrt{31+6\sqrt{26}}=\sqrt{18-2*3\sqrt{2}*\sqrt{13}+13}-\sqrt{18+2*3\sqrt{2}*\sqrt{13}+13}=\sqrt{(3\sqrt{2})^{2} -6\sqrt{26}+(\sqrt{13})^{2}}-\sqrt{(3\sqrt{2})^{2}+6\sqrt{26}+(\sqrt{13})^{2}}=\sqrt{(3\sqrt{2}-\sqrt{13})^{2}}-\sqrt{(3\sqrt{2}+\sqrt{13})^{2}}=|3\sqrt{2}-\sqrt{13}|-|3\sqrt{2}+\sqrt{13}|=3\sqrt{2}-\sqrt{13}-3\sqrt{2}-\sqrt{13}=0

2)\frac{1}{3}(2\sqrt{150}+3\sqrt{24}-5\sqrt{54})^{2}+15\sqrt[4]{625}=\frac{1}{3}(2\sqrt{25*6}+3\sqrt{4*6}-5\sqrt{9*6})^{2}+15\sqrt[4]{5^{4}}=\frac{1}{3}(2*5\sqrt{6}+3*2\sqrt{6}-5*3\sqrt{6})^{2}+15*5=\frac{1}{3}*(10\sqrt{6}+6\sqrt{6}-15\sqrt{6})^{2} -75=\frac{1}{3}*(\sqrt{6})^{2}+75=\frac{1}{3}*6+75=2+75=77

3)\sqrt{20,25}+\sqrt[3]{24}-\sqrt[4]{0,1296}-\frac{2}{5}\sqrt[3]{375}+\frac{1}{3}\sqrt[5]{7\frac{19}{32}}=\sqrt{4,5^{2}}+\sqrt[3]{2^{3}*3}-\sqrt[4]{0,6^{4}}-\frac{2}{5} \sqrt[3]{5^{3}*3}+\frac{1}{3}\sqrt[5]{(\frac{3}{2})^{5}}=4,5+2\sqrt[3]{3}-0,6-\frac{2}{5}*5\sqrt[3]{3}+\frac{1}{3}*\frac{3}{2}=3,9+2\sqrt[3]{3}-2\sqrt[3]{3}+\frac{1}{2}=3,9+0,5=4,4

4)\sqrt[3]{7-\sqrt{41}}*\sqrt[3]{7+\sqrt{41}}=\sqrt[3]{(7-\sqrt{41})(7+\sqrt{41}}=\sqrt[3]{7^{2}-(\sqrt{41})^{2}}=\sqrt[3]{49-41}=\sqrt[3]{8}=\sqrt[3]{2^{3}}=2

5)(\sqrt{6-\sqrt{11}}-\sqrt{6+\sqrt{11}})^{2}*(\frac{2}{3})^{-1}=((\sqrt{6-\sqrt{11}})^{2}-2*\sqrt{6-\sqrt{11}}*\sqrt{6+\sqrt{11}}+(\sqrt{6+\sqrt{11}})^{2})*\frac{3}{2}=(6-\sqrt{11}-2\sqrt{(6-\sqrt{11})(6+\sqrt{11})}+6+\sqrt{11})*\frac{3}{2}=(12-2\sqrt{36-11})*\frac{3}{2}=(12-2\sqrt{25})*\frac{3}{2}=(12-10)*\frac{3}{2}=2*\frac{3}{2}=3


lalkalolol: Здравствуйте, можете помочь пожалуйста с этим заданием?
https://znanija.com/task/33080766
Вас заинтересует