Ответы
Ответ дал:
7
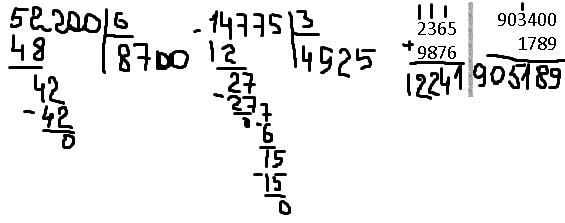
52 200: 6
14775: 3
2365+9876
903400+1789
Приложения:

Вас заинтересует
1 год назад
2 года назад
2 года назад
8 лет назад
8 лет назад