• Предмет: Математика
  • Автор: Dyumovo4ka
  • Вопрос задан 2 года назад

Памагити плииииз((( Номер 190

Приложения:

Ответы

Ответ дал: mishka19
2

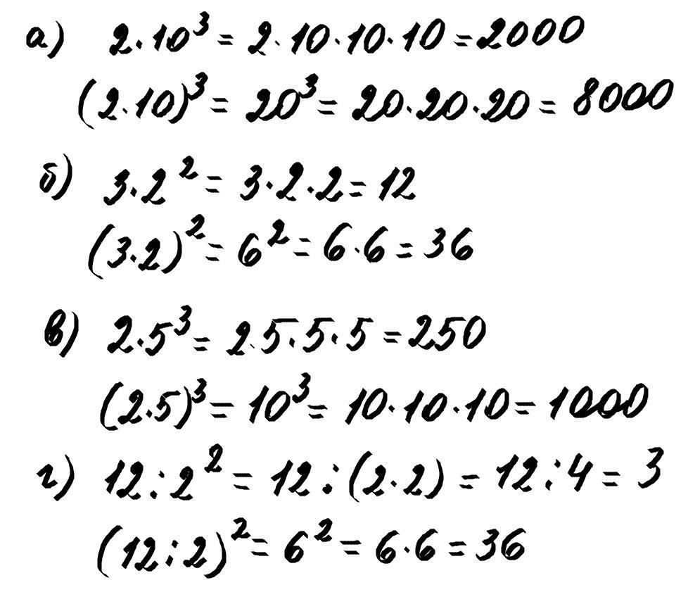
Ответ:

см.изображение

Пошаговое объяснение:

Приложения:
Вас заинтересует