• Предмет: Алгебра
  • Автор: zamiradus2006
  • Вопрос задан 2 года назад

♤помогите ПОЖАЛУЙСТА♤​

Приложения:

Ответы

Ответ дал: Светкм
1

Ответ:

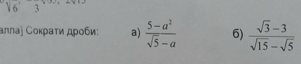
a)1 действие

 \frac{5 -  {a}^{2} }{ \sqrt{5} - a} \times  \frac{ \sqrt{5} + a }{ \sqrt{5} + a }

2 действие

каждую дробь взять в скобки(и числители и знаменатели) и записать под одной чертой

3 действие

в знаменателе получается формула (a-b)*(a+b)=a2-b2,соответветственно упрощаем и получаем

 \frac{(5 -  {a}^{2}) \times ( \sqrt{5}  + a)}{5 -  {a}^{2} }

4 действие:сокращаем одинаковые множители 5-а2

Ответ:

 \sqrt{5} + a

Вас заинтересует