• Предмет: Алгебра
  • Автор: devilnomer1
  • Вопрос задан 2 года назад

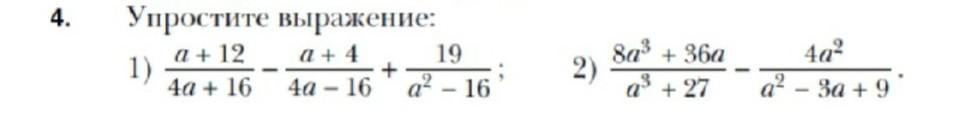
помогите пожалуйста​

Приложения:

Ответы

Ответ дал: natalka123456789
2

При решении использованы формулы:

a²-b²= (a-b)(a+b)

(a+b)²=a²+2ab+b²

a³+b³= (a+b)(a²- ab+b²)

Решение и ответы в приложении:

Приложения:
Вас заинтересует