• Предмет: Алгебра
  • Автор: nomertuest
  • Вопрос задан 2 года назад

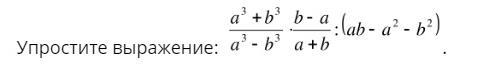
Даю 45 баллов (всё что есть), ток решите пж.

Приложения:

Ответы

Ответ дал: lidiasaraa3
1

........................

Приложения:
Ответ дал: Аноним
0

Ответ:во вложении объяснение:

Приложения:
Вас заинтересует