• Предмет: Алгебра
  • Автор: ireneisgood
  • Вопрос задан 2 года назад

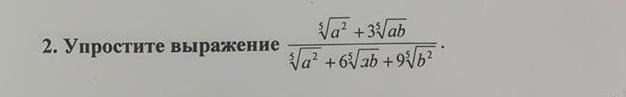
Помогите пожалуйста​

Приложения:

Ответы

Ответ дал: erkealieva307
0

Объяснение:

вот ответ на твой вопрос ,ответ выделен красным

Приложения:

erkealieva307: мрир
Вас заинтересует