• Предмет: Алгебра
  • Автор: myza604
  • Вопрос задан 2 года назад

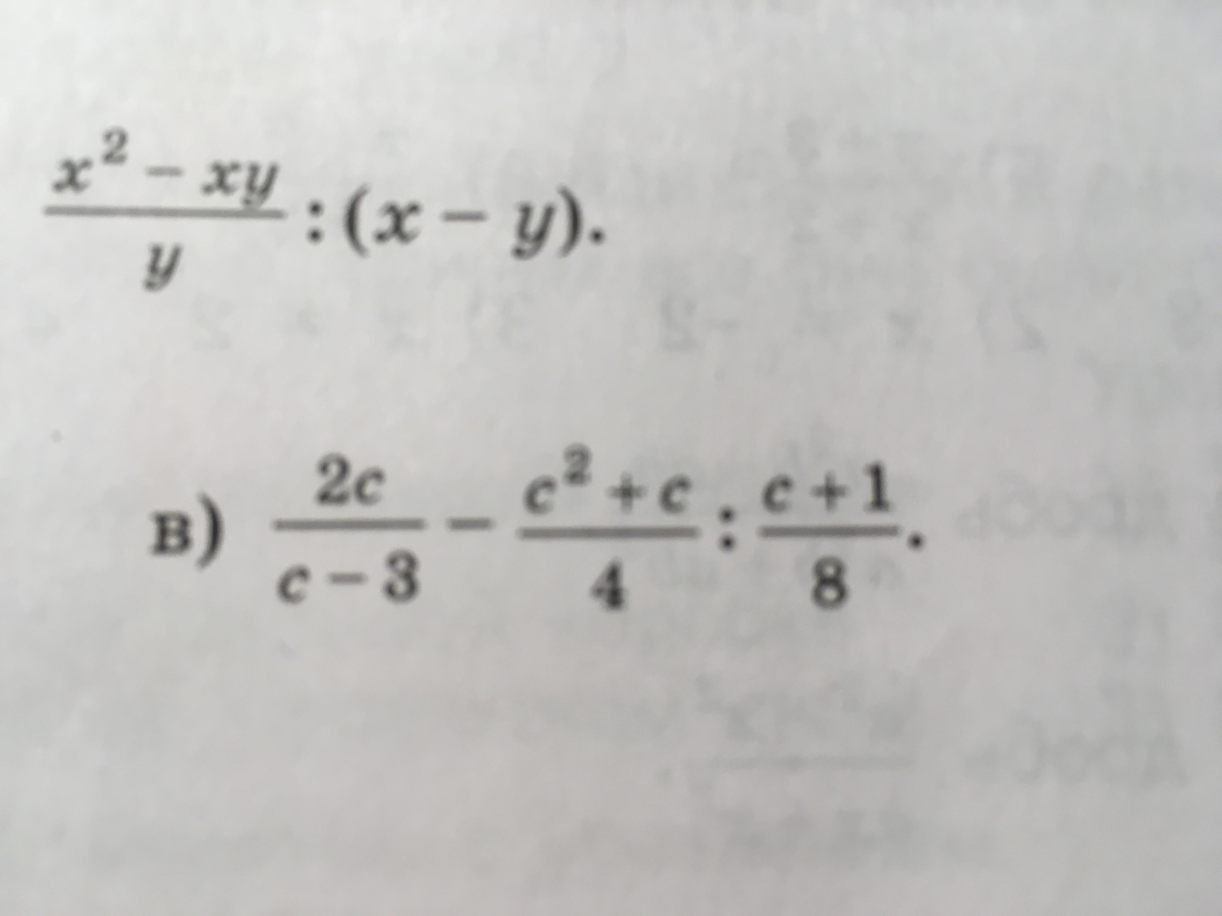
Упростите выражение. Пожалуйста Под в

Приложения:

Ответы

Ответ дал: Mary158234
0

Ответ:

2с(4-с) между двумя многочленами

с-3 черта дроби

Объяснение:

(с(с+1)*8)/(4(с+1))=2с

(2с-2с(с-3))/(с-3)=

=(2с-2с^2+6с)/(с-3)=

=(2с(4-с))/(с-3)

Вас заинтересует