• Предмет: Физика
  • Автор: lightercoc
  • Вопрос задан 2 года назад

плиз решите сор по физике 35 баллов​

Приложения:

Ответы

Ответ дал: Naruto488
1

Ответ:

вот может быть неправильно

Приложения:
Ответ дал: preobrazhenskaya8
1
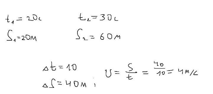
t1=20c
S1=20m
t2=30c
S2=60m
V=S:t=40:10=4mc
Вас заинтересует