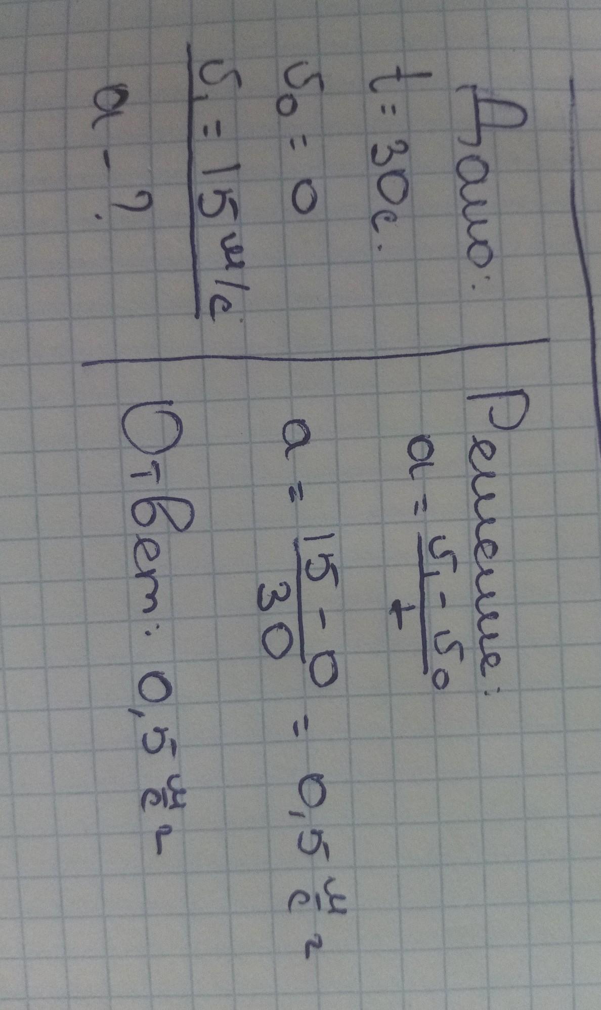
Через пол минуты после начала движения авто движется со скоростью 15 м в секунду. С каким ускорением движется авто?
Ответы
Ответ дал:
1
Ответ:
Ускорение равно 0,5 м/с²
Приложения:

Вас заинтересует
1 год назад
2 года назад
2 года назад
3 года назад
3 года назад
8 лет назад
8 лет назад