• Предмет: Алгебра
  • Автор: lizash763
  • Вопрос задан 2 года назад

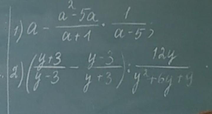
помогите пожалуйста срочно ост. 10 мин​!!! это два примера сделать по действиям
хотябы 1

Приложения:

lizash763: 5 мин уже

Ответы

Ответ дал: lana8300
2

Ответ:

Объяснение:

в файле

Приложения:

lizash763: случайно
lizash763: спасибо
lizash763: теперь правильно?
lana8300: в теч мин било все верно...
lana8300: уже давно бы написала
lizash763: спасибо большое
lana8300: или не видно что замазано что то?
lizash763: у нас перемена была я не смогла
lana8300: пожалуйста
lizash763: видно
Вас заинтересует