• Предмет: Алгебра
  • Автор: qewyk
  • Вопрос задан 2 года назад

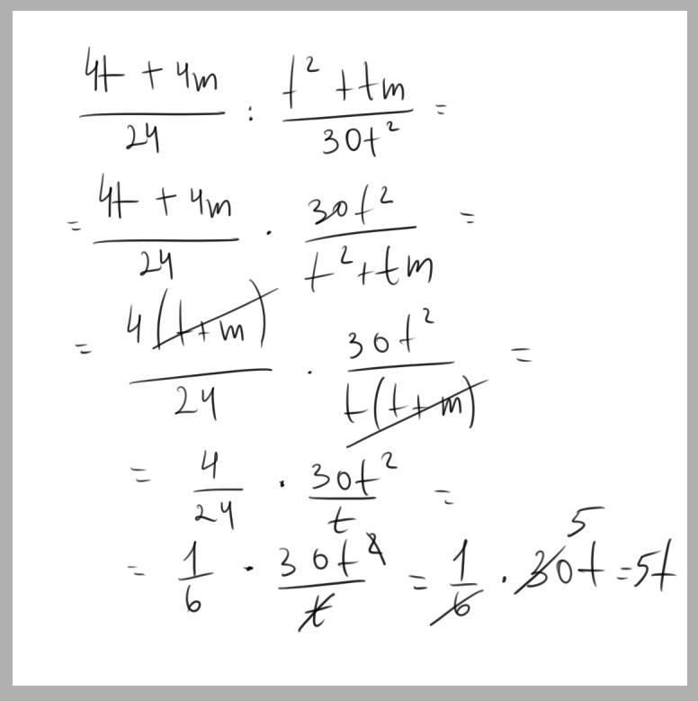
Раздели дроби и сократи результат​

Приложения:

Ответы

Ответ дал: WhiteNeko
1

Ответ: решение ниже

Объяснение:

Приложения:
Вас заинтересует