Ответы
Ответ дал:
0
Ответ:
.......................
Приложения:

Ответ дал:
0
Ответ:
Пошаговое объяснение:
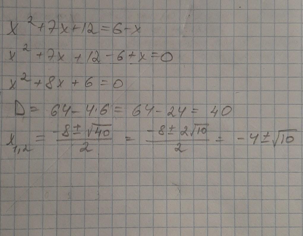
1)Упростим
x2 + 7x + 12-(6-х)=0
x2 + 7x + 12-6+х=0
x2 + 8x + 6=0
D=8^2-4*1*6=64-24=40
1) (-8+√40)/2= -4+√10
2) соответственно -4-√10
Вас заинтересует
1 год назад
1 год назад
3 года назад
8 лет назад