решите примеры пожалуйста с примерами 1)2-5/6 2)5-2 2/5 3)10 1/2-4 914 4)3 2/27+5 3/14 5)7 2/9+4 6)1/3+1/7 9)6 3/16-2 3/8-3 5/12
Ответы
Ответ дал:
0
Пошаговое объяснение:
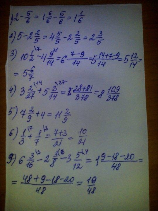
1)2-5/6=1 6/6-5/6=1 1/6
2)5-2 2/5 =4 5/5-2 2/5=2 3/5
3)10 1/2-4 9/14=21/2-65/14=(21*7-65)/14=
=82/14=5 12/14=5 6/7
4)3 2/27+5 3/14 =83/27+73/14=(83*14+73*27)/14*27=
=3133/378=8 109/378
5)7 2/9+4=11 2/9
6)1/3+1/7=(7+3)/21=10/21
9)6 3/16-2 3/8-3 5/12=6 3/16-2 6/16-3 5/12=5 19/16-2 6/16-3 5/12=3 13/16-3 5/12=3 39/48-3 20/48=19/48
Ответ дал:
3
Ответ:
на фото
Пошаговое объяснение:
Приложения:

Вас заинтересует
1 год назад
1 год назад
2 года назад
3 года назад
3 года назад
8 лет назад