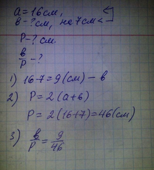
72. Длина прямоугольника 16 см, а его ширина на 7 см короче длины.
Найдите периметр прямоугольника. Какую часть периметра
прямоугольника составляет его ширина?
Ответы
Ответ дал:
23
ширина 16-7=9/см/
периметр 2*(16+7)=46/см/
Ширина составляет 9/46 от периметра.
Ответ дал:
20
Ответ:
на фото
Пошаговое объяснение:
Приложения:

Вас заинтересует
1 год назад
1 год назад
2 года назад
3 года назад
8 лет назад