Нужно решить это в с++
Очень срочно

Приложения:

Ответы

Ответ дал: Slizzz
1

Ответ:

По идее решается так, но будет необходимо поставить константы a,b.

Лучше будет пересчитать так же через wolframalpha.

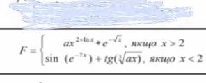
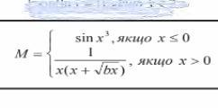
№1

#include<iostream>

#include<math.h>

int main()

{

double x,m,a,b;

std::cin >> x;

a= ;

b= ;

if (x<=0) m=sin(pow(x,3));

if (x>0) m=1/(x*(x+sqrt(b*x)));

std::cout << m;

return 0;

}

№2

#include<iostream>

#include<math.h>

int main()

{

double x,f,a;

std::cin >> x;

a= ;

if (x>2) f=a*pow(x,2+log10(x))*pow(M_E,-sqrt(2));

if (x<2) f=sin(pow(e,-7*x))+tan(pow(ax,1/3));

std::cout << m;

return 0;

}

Объяснение:

Вас заинтересует