Ответы
Ответ дал:
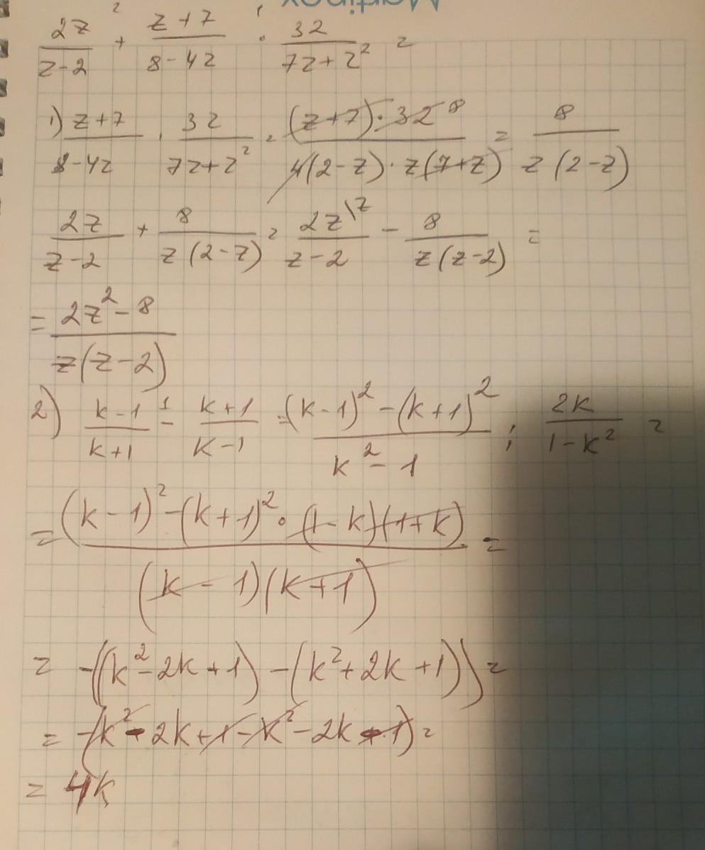
1
Объяснение:
как то так ______________________
Приложения:

Вас заинтересует
1 год назад
2 года назад
2 года назад
3 года назад
3 года назад
8 лет назад