• Предмет: Математика
  • Автор: ivarianna
  • Вопрос задан 2 года назад

Пожалуйста 49 и 50 номер

Приложения:

Ответы

Ответ дал: DinariTe
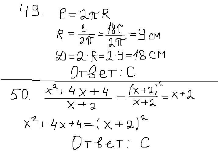
1

Ответ:

49 - 9;

50 - С.

Пошаговое объяснение:

Решение на фото.

Приложения:
Ответ дал: ssroman72
1

Ответ:

Пошаговое объяснение:

Приложения:
Вас заинтересует