Алгебра-логики Закон поглощения. Откуда в его доказательстве единица ?как она появляется? понять никак не могу.
Приложения:

Ответы
Ответ дал:
0
Ответ:
hello again and I hope you are well and having a good time in France and I hope you are having a good time in France and your family are having a good time away and I hope you are having a lovely time away from the family and
Ответ дал:
0
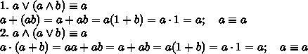
Ответ:
Объяснение:
законы коммутативности
x ∧ y = y ∧ x
x ∨ y = y ∨ x
законы ассоциативности
(x ∧ y) ∧ z = x ∧ (y ∧ z)
(x ∨ y) ∨ z = x ∨ (y ∨ z)
законы поглощения (нуля и единицы)
x ∨ 0 = x
x ∧ 1 = x
законы дистрибутивности
x ∧ (y ∨ z) = (x ∧ y) ∨ (x ∧ z)
Вас заинтересует
1 год назад
1 год назад
2 года назад
2 года назад
3 года назад
3 года назад