• Предмет: Алгебра
  • Автор: vladimirshmele1
  • Вопрос задан 2 года назад

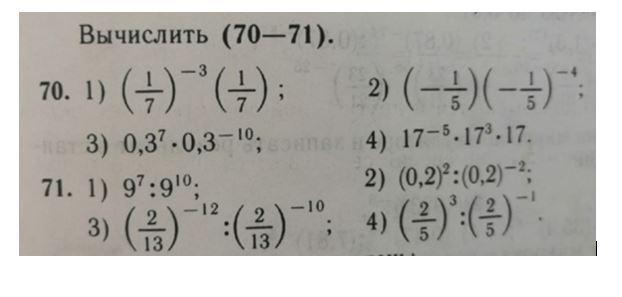
пожалуйста , в 70 под цифрами 3 и 4
в 71 под цифрами 1 и 2

Приложения:

Ответы

Ответ дал: takmakova0319
1

70.

3)0.3 {}^{ - 9}

4)17 {}^{ - 1}

71.

1)9 {}^{ - 3}

2)0.2 {}^{4}

Вас заинтересует