Ответы
Ответ дал:
1
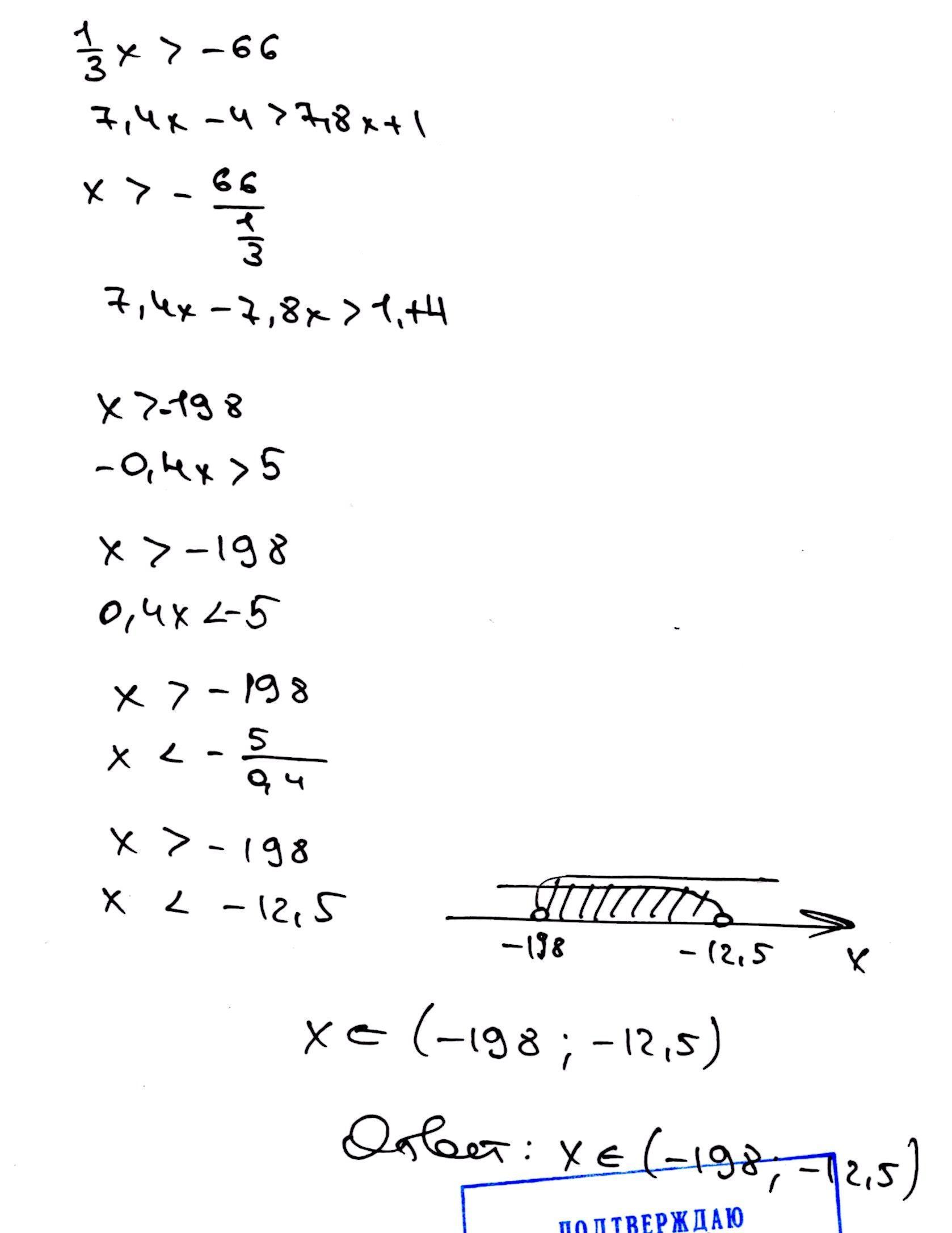
Ответ:
( -198 ; -12,5 )
Объяснение:
Приложения:

Вас заинтересует
1 год назад
2 года назад
2 года назад
3 года назад
3 года назад
8 лет назад