• Предмет: Алгебра
  • Автор: vitusja1234
  • Вопрос задан 2 года назад

помогите, пожалуйста!!!

Приложения:

Ответы

Ответ дал: NNNLLL54
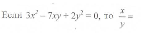
1

3x^2-7xy+2y^2=0\; |:y^2\ne 0\\\\3\cdot (\frac{x}{y})^2-7\cdot \frac{x}{y}+2=0\\\\t=\frac{x}{y}\; ,\; \; \; 3t^2-7t+2=0\; ,\; \; D=25\; ,\; \; t_1=\frac{1}{3}\; ,\; \; t_2=2\; ,\\\\\frac{x}{y}=\frac{1}{3}\; \; \; ili\; \; \; \frac{x}{y}=2


vitusja1234: спасибо, не могли бы вы помочь с остальными заданиями (есть в профиле)
dasew12: здравствуйте, помогите пожалуйста с заданием по алгебре https://znanija.com/task/33120392
Ответ дал: dnepr1
0

Задано неявное уравнение 3х² - 7ху + 2у² = 0.

Представим его так: 3х² - 6ху - ху + 2у² = 0.

Из 1 и 2, 3 и 4 членов вынесем общий множитель:

3х(х - 2у) - у(х - 2у) = 0,

Получили разложение на множители: (3х - у)(х - 2у) = 0.

Каждый множитель приравняем нулю.

3х - у = 0.   х = у/3.

х - 2у = 0.    х = 2у.

Разделим на "у" обе части и получаем 2 ответа.

х/у = 1/3 и х/у = 2.

Примечание. Именно "и" соединяет ответы, а не "или".

Вас заинтересует