50 БАЛЛОВ!!!
Срочно решите уравнения (возможно с введением новой переменной)
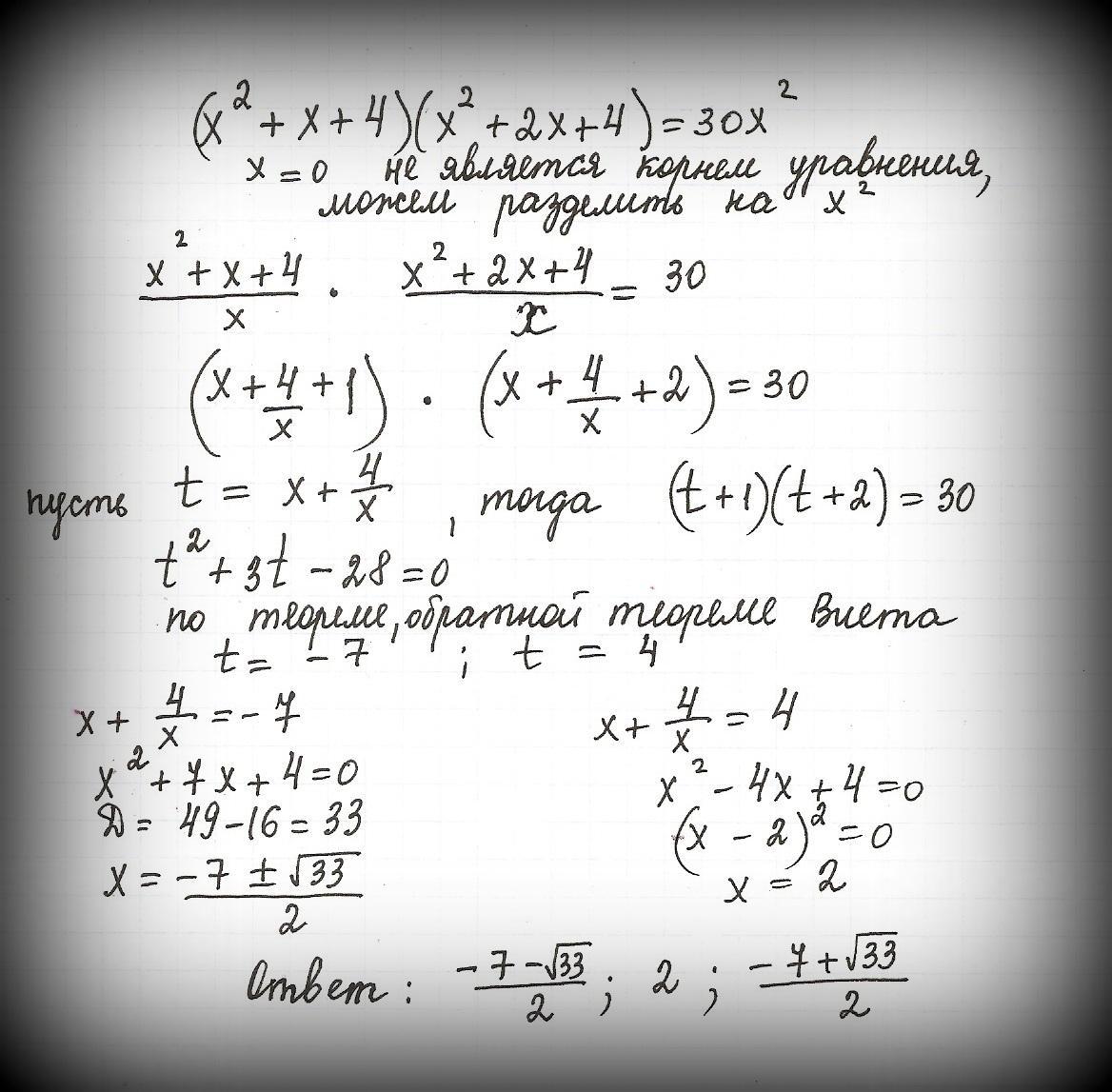
а) (х²+х+4)(х²+2х+4)=30х²
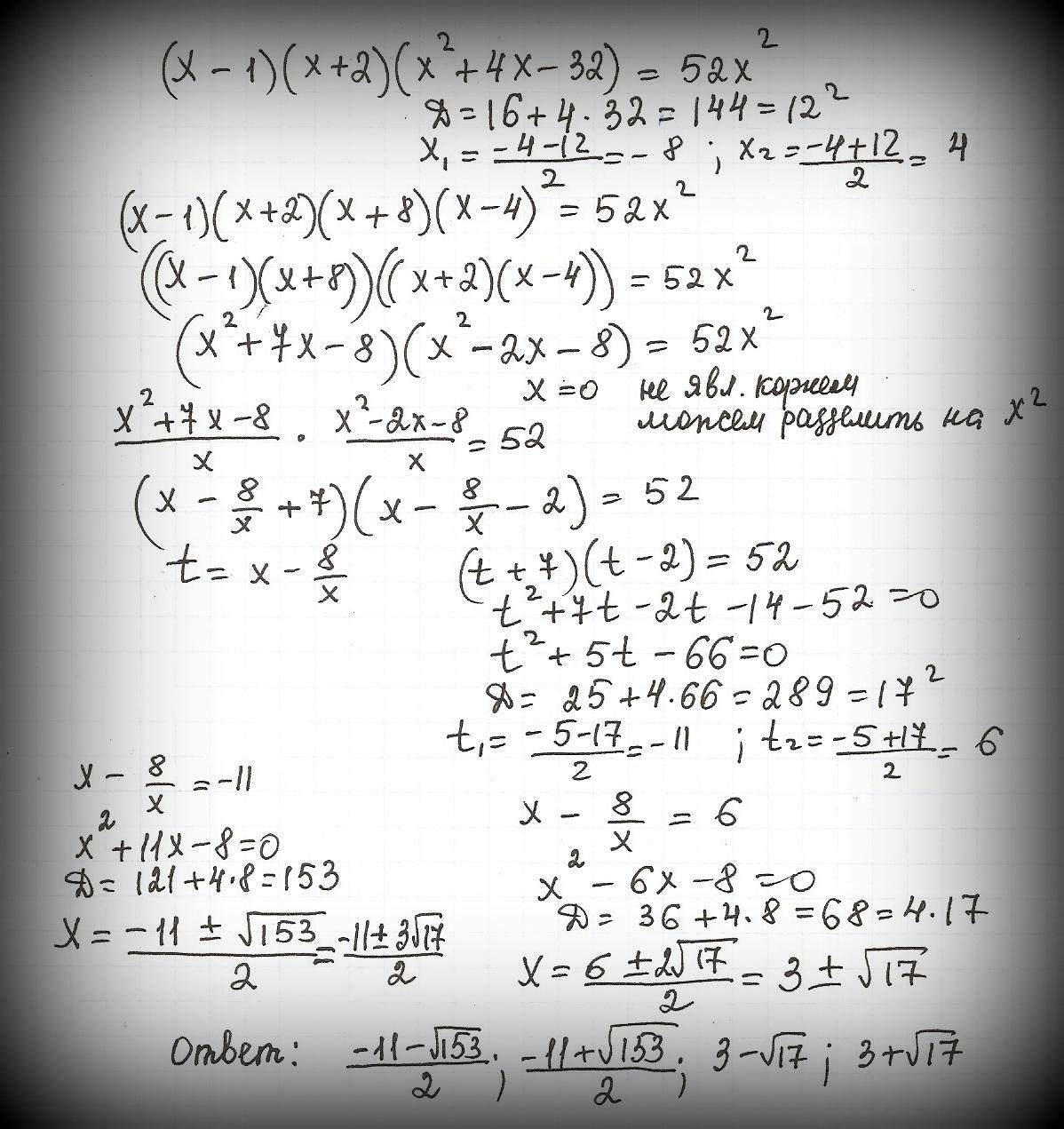
б) (х-1)(х+2)(x²+4х-32)=52х²
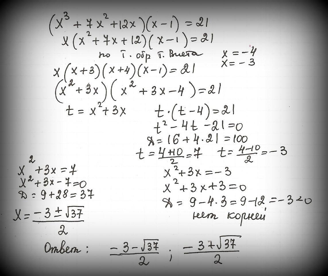
в) (х³+7х²+12х)(х-1)=21
ДАЮ 50 БАЛЛОВ!!!
желательно решить в течении часа!
Ответы
Ответ дал:
3
Ответ:
Объяснение:
=================================================
Приложения:



itron12:
Спасибо
Вас заинтересует
1 год назад
1 год назад
2 года назад
2 года назад
3 года назад
8 лет назад