• Предмет: Алгебра
  • Автор: itron12
  • Вопрос задан 2 года назад

91 БАЛЛОВ!!!

Срочно решите уравнения (возможно с введением новой переменной)


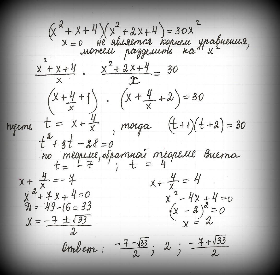
а) (х²+х+4)(х²+2х+4)=30х²


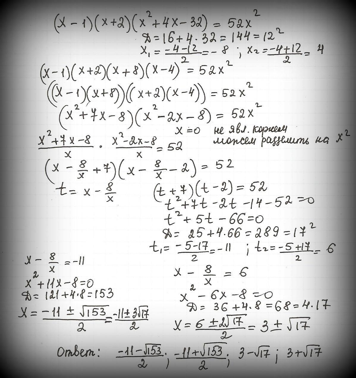
б) (х-1)(х+2)(x²+4х-32)=52х²


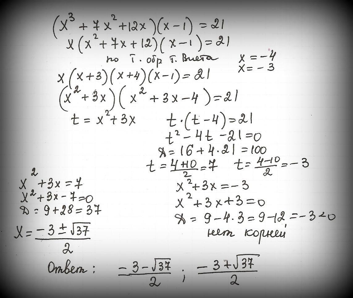
в) (х³+7х²+12х)(х-1)=21





желательно решить в течении часа!

Ответы

Ответ дал: tamarabernukho
2

Ответ:

Объяснение:

===================================================

Приложения:
Вас заинтересует