Вычисли количество вещества и массу оксида серы (IV) , который получается по реакции: 4Fe S2+ 11O2 = 2FE2 + 8SO2 ↑ из пирита (FeS2) Массой 240 кг.
Ответы
Ответ дал:
0
240кг=240000Г
Mr(FeS)=56+32=88г/моль
n(FeS)=240000/88=2727моль
n(SO2)=2727/4 : x/8 = 2727*8 / 4 = =5454моль
m(SO2)=n*Mr
Mr(SO2)=32+2*16=64г/моль
m(SO2)=5454*64=349056г = 349кг
Ответ:n(SO2)=5454моль;m(SO2)=349кг.
Mr(FeS)=56+32=88г/моль
n(FeS)=240000/88=2727моль
n(SO2)=2727/4 : x/8 = 2727*8 / 4 = =5454моль
m(SO2)=n*Mr
Mr(SO2)=32+2*16=64г/моль
m(SO2)=5454*64=349056г = 349кг
Ответ:n(SO2)=5454моль;m(SO2)=349кг.
Ответ дал:
0
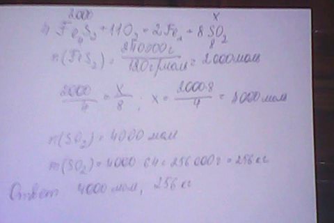
извините за плохое качество, но думаю, что прочитать можно
Приложения:

Вас заинтересует
2 года назад
8 лет назад
8 лет назад
10 лет назад
10 лет назад
10 лет назад