• Предмет: Алгебра
  • Автор: Василекмахал
  • Вопрос задан 2 года назад

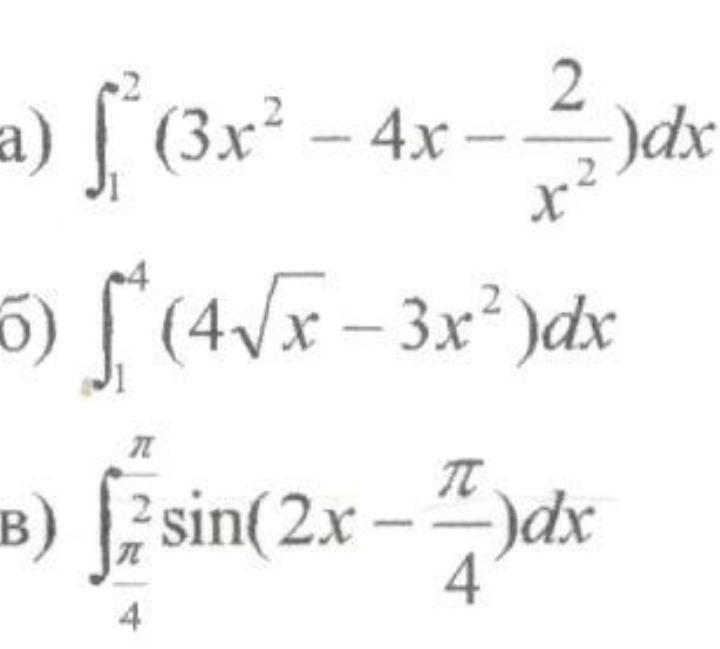
Вычислите интеграл. Пожалуйста очень надо!

Приложения:

Ответы

Ответ дал: dia0077
0

если не понимаешь то пиши это сразу ответы Ю

Приложения:
Вас заинтересует