Ответы
                                            Ответ дал: 
                                                                                    
                                        
                                            
                                                
                                                
                                                
                                                    1
                                                
                                            
                                        
                                    Ответ:
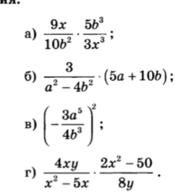
г) 4ху/х'2-5х * 2х'2-50/8у= х/х(х-5)*2(х'2-25)/2=1/х-5*(х-5)*(х+5)=х+5
                                            Ответ дал: 
                                                                                            
                                                    
                                                
                                                                                    
                                        
                                            
                                                
                                                
                                                
                                                    1
                                                
                                            
                                        
                                    Ответы:
1)
2)
3)
4) x(x+5)
Приложения:
                     
                            Вас заинтересует
                
                        1 год назад
                    
                
                        1 год назад
                    
                
                        2 года назад
                    
                
                        2 года назад
                    
                
                        3 года назад
                    
                
                        3 года назад
                    
                
                        8 лет назад
                    
                