• Предмет: Алгебра
  • Автор: nek444
  • Вопрос задан 2 года назад

Решите уравнение комбинаторики

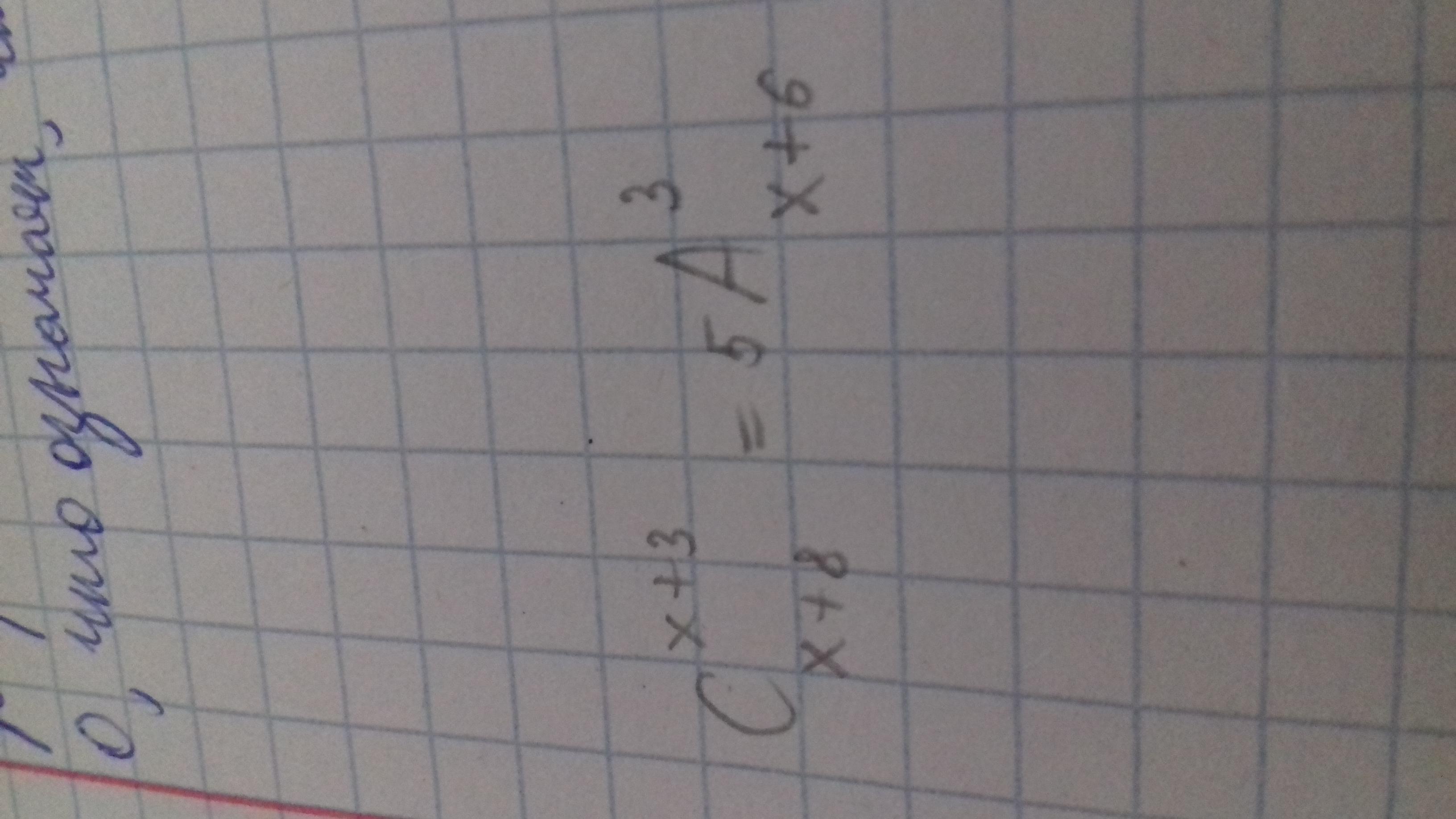
Приложения:

Ответы

Ответ дал: Аноним
1

C^{x+3}_{x+8}=5A^{3}_{x+6}\\ \\ \\ \dfrac{(x+8)!}{(x+3)!(x+8-x-3)!}=5\cdot \dfrac{(x+6)!}{(x+6-3)!}\\ \\ \\ \dfrac{(x+8)!}{(x+3)!5!}=5\cdot \dfrac{(x+6)!}{(x+3)!}\\ \\ \\ \dfrac{(x+4)(x+5)(x+6)(x+7)(x+8)}{120}=5(x+4)(x+5)(x+6)\\ \\ \\ (x+4)(x+5)(x+6)\left(\dfrac{(x+7)(x+8)}{120}-5\right)=0\\ \\ x_1=-4\\ x_2=-5\\ x_3=-6\\ \\ \dfrac{(x+7)(x+8)}{120}-5=0~~~\bigg|\cdot 120\\ \\ x^2+15x+56-600=0\\ \\ x^2+15-544=0\\ \\ x_4=-32\\ \\ x_5=17

Корни x = -4; -5; -6; -32 посторонние.

Ответ: x = 17.

Вас заинтересует