• Предмет: Алгебра
  • Автор: Terub
  • Вопрос задан 2 года назад

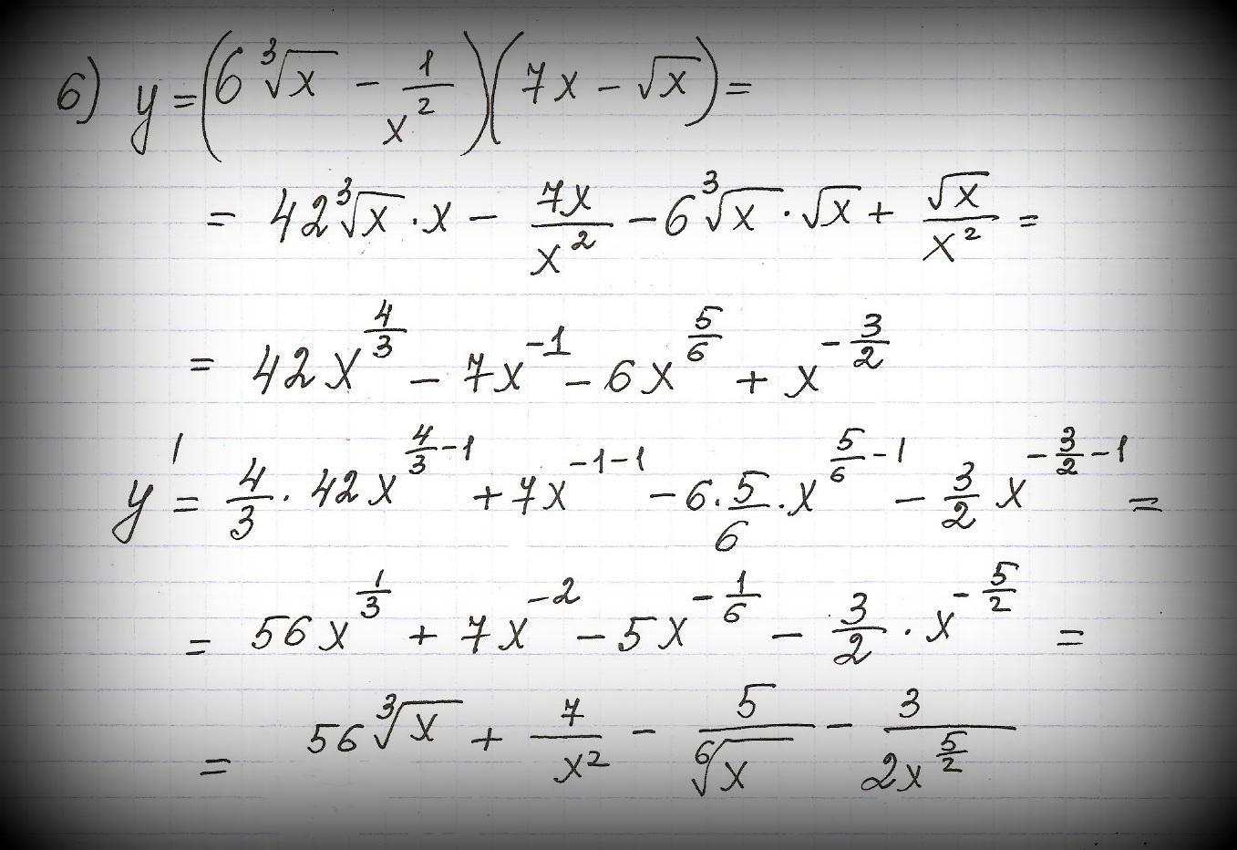
Ребят пожалуйста очень надо прошу помочь с производной и правилами дифференцирования очень надо нужно xoтя бы 2 решить заранее спасибо

Приложения:

Ответы

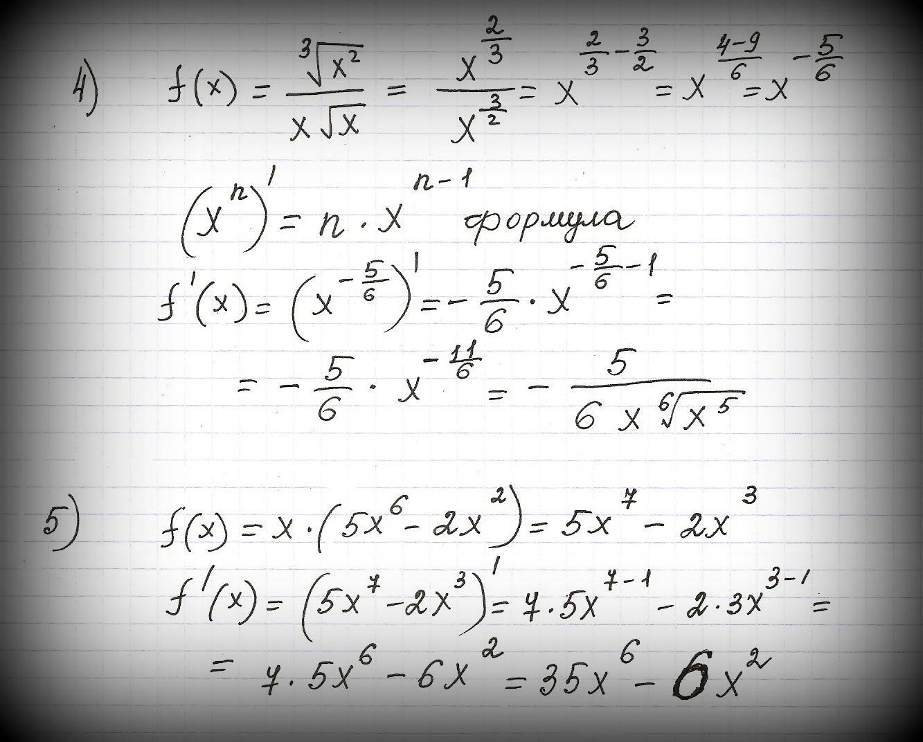
Ответ дал: Sveta20022017
1

В 4:

Х в степени две, третьих поделить на х в степени две третьих. Равно 1. А производная будет равна 0

5)5х в седьмой — 2х² а производная = 35х в шестой — 4х

Ты просил хотя бы 2. Я все

Ответ дал: tamarabernukho
2

Ответ:

Объяснение:

====================================================

Приложения:
Вас заинтересует