Ответы
Ответ дал:
0
Ответ:
ответ на фото
Объяснение:
Приложения:

Ответ дал:
0
Ответ:
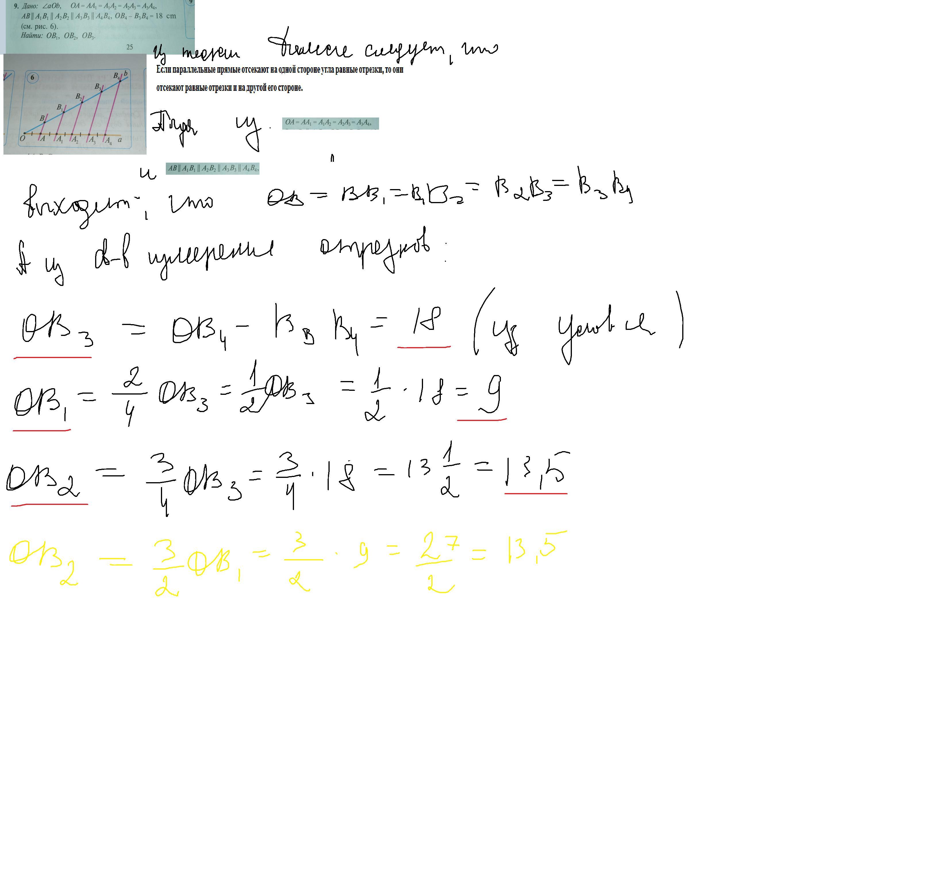
Объяснение:Решите задачу номер 9
Приложения:

Вас заинтересует
1 год назад
2 года назад
2 года назад
3 года назад
3 года назад
8 лет назад