Ответы
Ответ дал:
0
Ответ:
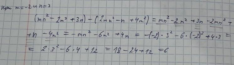
смотри фото,пошаговое решение
Приложения:

Аноним:
у тебя ошибка
Вас заинтересует
1 год назад
1 год назад
2 года назад
2 года назад
3 года назад
3 года назад
8 лет назад